Alternan

Alternan
Identifiers
Properties
(C6H10O5)n
Highly soluble
Except where otherwise noted, data are given for materials in their standard state (at 25 °C [77 °F], 100 kPa).
Infobox references

Alternan is a branched α-d-glucan produced by microorganisms. This polymer was first discovered in the bacterium Leuconostoc mesenteroides, which has since been genetically engineered to produce alternan. They genetically engineered the genes for alternansucrase, the enzyme that produces alternan, to get a pure sample. This gene of the enzyme alternansucrase had also been genetically engineered into E. coli.[1]

This compound is highly soluble in water and has a low viscosity. These characteristics make it a prime candidate to use in the food and cosmetic industries.

Biosynthesis

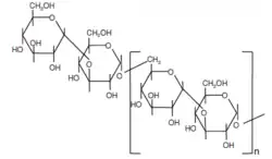
Alternan is an exopolysaccharide generated from the glucose monosaccharides of sucrose by the enzyme alternansucrase.[1] The polysaccharide is assembled with α-(1→6) and α-(1→3) glycosidic bonds.[2] Alternansucrase was initially found in Leuconostoc mesenteroides, a bacterial species used in the dairy industry.[3] L. mesenteroides is a gram positive bacterium that performs fermentation. During fermentation the bacterium produces a very high amount of alternan and dextran, requiring a medium containing sucrose, nitrogen, glutamate, thiamine, and valine. The alternan is then extracted from the fermentation product through centrifugation or filtration.

Industrial use

Alternan has numerous industrial uses. One of the valuable uses is in food production as an essential component of the sweetener sucromalt, also known as Xtend, which is commonly used in diabetic foods due to its low glycemic index.[4][5] Alternan can also be used to add texture to food or cosmetics in place of fat or oil.[6]

Alternan has shown potential as a bulking agent as it has a low viscosity and high solubility. These properties are shared with other commonly used food extenders and binders.[7] Few microorganisms have the ability to break down alternan, it is also able to retain its structure and properties when exposed to heat, making it a strong candidate to improve shelf-life of food products.[8]

Future Applications

Alternan has shown promising applications in stem cell research. When treating mesenchymal stem cells (MSC) with alternan they showed increased proliferation and viability. Alternan stimulated toll-like receptors in the MSC that are important in differentiation of the cell as well as increased migration abilities of the MSC. Alternan could be a beneficial additive to stem cell therapies to improve outcomes.[9]

References

  1. ^ a b Handbook of Hydrocolloids. Elsevier. 2021. doi:10.1016/c2018-0-04245-0. ISBN 978-0-12-820104-6.
  2. ^ Leathers, Timothy D.; Nunnally, Melinda S.; Côté, Gregory L. (2010-07-07). "Optimization of process conditions for enzymatic modification of alternan using dextranase from Chaetomium erraticum". Carbohydrate Polymers. 81 (3): 732–736. doi:10.1016/j.carbpol.2010.03.030. ISSN 0144-8617.
  3. ^ Hassan, A. N.; Frank, J. F. (2011-01-01), Fuquay, John W. (ed.), "MICROORGANISMS ASSOCIATED WITH MILK", Encyclopedia of Dairy Sciences (Second Edition), San Diego: Academic Press, pp. 447–457, doi:10.1016/b978-0-12-374407-4.00309-5, ISBN 978-0-12-374407-4, retrieved 2024-10-04
  4. ^ "Xtend ® Sucromalt". Cargill. Cargill Incorporated. Retrieved 23 October 2024.
  5. ^ Rich, Joseph. "Lactic Acid Bateria - Friend or Foe? Lactic Acid Bacteria in the Production of Polysaccharides and Fuel Ethanol". Agricultural Research Service U.S. DEPARTMENT OF AGRICULTURE. US Government. Retrieved 3 October 2024.
  6. ^ "Unified Patents - Analytics Portal". portal.unifiedpatents.com. Retrieved 2024-10-07.
  7. ^ "Publication : USDA ARS". www.ars.usda.gov. Retrieved 2024-10-23.
  8. ^ Wyckoff, Herbert A; Hayman, G. Thomas; Biely, Peter (1997). "Low-viscosity polysaccharides as potential new food ingredients". Chemistry of novel foods. IL, USA: Allured Publishing Corporation. pp. 95–110.
  9. ^ Charoenwongpaiboon, Thanapon; Supraditaporn, Kantpitchar; Klaimon, Phatchanat; Wangpaiboon, Karan; Pichyangkura, Rath; Issaragrisil, Surapol; Lorthongpanich, Chanchao (2019-01-30). "Effect of alternan versus chitosan on the biological properties of human mesenchymal stem cells". RSC Advances. 9 (8): 4370–4379. doi:10.1039/C8RA10263E. ISSN 2046-2069. PMC 9060545.