Pyrimidine dimer

Pyrimidine dimers represent molecular lesions originating from thymine or cytosine bases within DNA, resulting from photochemical reactions.[1][2] These lesions, commonly linked to direct DNA damage,[3] are induced by ultraviolet light (UV), particularly UVC, result in the formation of covalent bonds between adjacent nitrogenous bases along the nucleotide chain near their carbon–carbon double bonds,[4] the photo-coupled dimers are fluorescent.[5] Such dimerization, which can also occur in double-stranded RNA (dsRNA) involving uracil or cytosine, leads to the creation of cyclobutane pyrimidine dimers (CPDs) and 6–4 photoproducts. These pre-mutagenic lesions modify the DNA helix structure, resulting in abnormal non-canonical base pairing and, consequently, adjacent thymines or cytosines in DNA will form a cyclobutane ring when joined together and cause a distortion in the DNA. This distortion prevents DNA replication and transcription mechanisms beyond the dimerization site.[6]
While up to 100 such reactions per second may transpire in a skin cell exposed to sunlight resulting in DNA damage, they are typically rectified promptly through DNA repair, such as through photolyase reactivation or nucleotide excision repair, with the latter being prevalent in humans. Conversely, certain bacteria utilize photolyase, powered by sunlight, to repair pyrimidine dimer-induced DNA damage. Unrepaired lesions may lead to erroneous nucleotide incorporation by polymerase machinery. Overwhelming DNA damage can precipitate mutations within an organism's genome, potentially culminating in cancer cell formation.[7] Unrectified lesions may also interfere with polymerase function, induce transcription or replication errors, or halt replication. Notably, pyrimidine dimers contribute to sunburn and melanin production, and are a primary factor in melanoma development in humans.
Types of pyrimidine dimers

Pyrimidine dimers encompass several types, each with distinct structures and implications for DNA integrity.
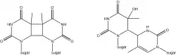
Cyclobutane pyrimidine dimer (CPD) is a dimer which features a four-membered ring formed by the fusion of two double-bonded carbons from adjacent pyrimidines. CPDs disrupt the formation of the base pair during DNA replication, potentially leading to mutations.[8][9][10]
The 6–4 photoproduct (6–4 pyrimidine–pyrimidone, or 6–4 pyrimidine–pyrimidinone) is an alternate dimer configuration consisting of a single covalent bond linking the carbon at the 6 (C6) position of one pyrimidine ring and carbon at the 4 (C4) position of the adjoining base's ring.[11] This type of conversion occurs at one third the frequency of CPDs and has a higher mutagenic risk.[12]
A third type of molecular lesion is a Dewar pyrimidinone, resulting from the reversible isomerization of a 6–4 photoproduct under further light exposure.[13]
Mutagenesis
Mutagenesis, the process of mutation formation, is significantly influenced by translesion polymerases which often introduce mutations at sites of pyrimidine dimers. This occurrence is noted both in prokaryotes, through the SOS response to mutagenesis, and in eukaryotes. Despite thymine-thymine CPDs being the most common lesions induced by UV, translesion polymerases show a tendency to incorporate adenines, resulting in the accurate replication of thymine dimers more often than not. Conversely, cytosines that are part of CPDs are susceptible to deamination, leading to a cytosine to thymine transition, thereby contributing to the mutation process.[14]
DNA repair

Pyrimidine dimers introduce local conformational changes in the DNA structure, which allow recognition of the lesion by repair enzymes.[15] In most organisms (excluding placental mammals such as humans) they can be repaired by photoreactivation.[16] Photoreactivation is a repair process in which photolyase enzymes reverse CPDs using photochemical reactions. In addition, some photolyases can also repair 6-4 photoproducts of UV induced DNA damage. Photolyase enzymes utilize flavin adenine dinucleotide (FAD) as a cofactor in the repair process.[17]
The UV dose that reduces a population of wild-type yeast cells to 37% survival is equivalent (assuming a Poisson distribution of hits) to the UV dose that causes an average of one lethal hit to each of the cells of the population.[18] The number of pyrimidine dimers induced per haploid genome at this dose was measured as 27,000.[18] A mutant yeast strain defective in the three pathways by which pyrimidine dimers were known to be repaired in yeast was also tested for UV sensitivity. It was found in this case that only one or, at most, two unrepaired pyrimidine dimers per haploid genome are lethal to the cell.[18] These findings thus indicate that the repair of thymine dimers in wild-type yeast is highly efficient.
Nucleotide excision repair, sometimes termed "dark reactivation", is a more general mechanism for repair of lesions and is the most common form of DNA repair for pyrimidine dimers in humans. This process works by using cellular machinery to locate the dimerized nucleotides and excise the lesion. Once the CPD is removed, there is a gap in the DNA strand that must be filled. DNA machinery uses the undamaged complementary strand to synthesize nucleotides off of and consequently fill in the gap on the previously damaged strand.[6]
Xeroderma pigmentosum (XP) is a rare genetic disease in humans in which genes that encode for NER proteins are mutated and result in decreased ability to combat pyrimidine dimers that form as a result of UV damage. Individuals with XP are also at a much higher risk of cancer than others, with a greater than 5,000 fold increased risk of developing skin cancers.[7] Some common features and symptoms of XP include skin discoloration, and the formation of multiple tumors proceeding UV exposure.
A few organisms have other ways to perform repairs:
- Spore photoproduct lyase is found in spore-forming bacteria. It returns thymine dimers to their original state.[19]
- Deoxyribodipyrimidine endonucleosidase is found in bacteriophage T4. It is a base excision repair enzyme specific for pyrimidine dimers. It is then able to cut open the AP site.
Another type of repair mechanism that is conserved in humans and other non-mammals is translesion synthesis. Typically, the lesion associated with the pyrimidine dimer blocks cellular machinery from synthesizing past the damaged site. However, in translesion synthesis, the CPD is bypassed by translesion polymerases, and replication and or transcription machinery can continue past the lesion. One specific translesion DNA polymerase, DNA polymerase η, is deficient in individuals with XPD.[20]
Effect of topical sunscreen and effect of absorbed sunscreen
Direct DNA damage is reduced by sunscreen, which also reduces the risk of developing a sunburn. When the sunscreen is at the surface of the skin, it filters the UV rays, which attenuates the intensity. Even when the sunscreen molecules have penetrated into the skin, they protect against direct DNA damage, because the UV light is absorbed by the sunscreen and not by the DNA.[21] Sunscreen primarily works by absorbing the UV light from the sun through the use of organic compounds, such as oxybenzone or avobenzone. These compounds are able to absorb UV energy from the sun and transition into higher-energy states. Eventually, these molecules return to lower energy states, and in doing so, the initial energy from the UV light can be transformed into heat. This process of absorption works to reduce the risk of DNA damage and the formation of pyrimidine dimers. UVA light makes up 95% of the UV light that reaches earth, whereas UVB light makes up only about 5%. UVB light is the form of UV light that is responsible for tanning and burning. Sunscreens work to protect from both UVA and UVB rays. Overall, sunburns exemplify DNA damage caused by UV rays, and this damage can come in the form of free radical species, as well as dimerization of adjacent nucleotides.[22]
See also
References
- ^ Goodsell DS (2001). "The molecular perspective: ultraviolet light and pyrimidine dimers". The Oncologist. 6 (3): 298–299. doi:10.1634/theoncologist.6-3-298. PMID 11423677. S2CID 36511461.
- ^ Friedberg EC, Walker GC, Siede W, Wood RD, Schultz RA, Ellenberger T, eds. (2006). DNA repair and mutagenesis. Washington: ASM Press. p. 1118. ISBN 978-1-55581-319-2.
- ^ Peak MJ, Peak JG (October 1991). Effects of Solar Ultraviolet Photons on Mammalian Cell DNA (PDF). Proceedings of the Symposium. Atlanta, Georgia, USA.
- ^ Whitmore SE, Potten CS, Chadwick CA, Strickland PT, Morison WL (October 2001). "Effect of photoreactivating light on UV radiation-induced alterations in human skin". Photodermatology, Photoimmunology & Photomedicine. 17 (5): 213–217. doi:10.1111/j.1600-0781.2001.170502.x. PMID 11555330. S2CID 11529493.
- ^ Carroll GT, Dowling RC, Kirschman DL, Masthay MB, Mammana A (2023). "Intrinsic fluorescence of UV-irradiated DNA". Journal of Photochemistry and Photobiology A. 437: 114484. doi:10.1016/j.jphotochem.2022.114484. S2CID 254622477.
- ^ a b Cooper GM (2000). "DNA Repair". The Cell: A Molecular Approach (2nd ed.). Sinauer Associates.
- ^ a b Kemp MG, Sancar A (August 2012). "DNA excision repair: where do all the dimers go?". Cell Cycle. 11 (16): 2997–3002. doi:10.4161/cc.21126. PMC 3442910. PMID 22825251.
- ^ Setlow RB (July 1966). "Cyclobutane-type pyrimidine dimers in polynucleotides". Science. 153 (3734): 379–386. Bibcode:1966Sci...153..379S. doi:10.1126/science.153.3734.379. PMID 5328566. S2CID 11210761.
- ^ "Structure of the major UV-induced photoproducts in DNA" (PDF). Expert reviews in molecular medicine. Cambridge University Press. 2 December 2002. Archived from the original (PDF) on 21 March 2005.
- ^ Mathews C, Van Holde KE (1990). Biochemistry (2nd ed.). Benjamin Cummings Publication. p. 1168. ISBN 978-0-8053-5015-9.
- ^ Rycyna RE, Alderfer JL (August 1985). "UV irradiation of nucleic acids: formation, purification and solution conformational analysis of the '6-4 lesion' of dTpdT". Nucleic Acids Research. 13 (16): 5949–5963. doi:10.1093/nar/13.16.5949. PMC 321925. PMID 4034399.
- ^ Van Holde KE, Mathews CK (1990). Biochemistry. Menlo Park, Calif: Benjamin/Cummings Pub. Co. ISBN 978-0-8053-5015-9.
- ^ Taylor JS, Cohrs M (1987). "DNA, light and Dewar pyrimidinones: the structure and significance of TpT3". J. Am. Chem. Soc. 109 (9): 2834–2835. doi:10.1021/ja00243a052.
- ^ Choi JH, Besaratinia A, Lee DH, Lee CS, Pfeifer GP (July 2006). "The role of DNA polymerase iota in UV mutational spectra". Mutation Research. 599 (1–2): 58–65. doi:10.1016/j.mrfmmm.2006.01.003. PMID 16472831.
- ^ Kemmink J, Boelens R, Koning TM, Kaptein R, van der Marel GA, van Boom JH (January 1987). "Conformational changes in the oligonucleotide duplex d(GCGTTGCG) x d(CGCAACGC) induced by formation of a cis-syn thymine dimer. A two-dimensional NMR study". European Journal of Biochemistry. 162 (1): 37–43. doi:10.1111/j.1432-1033.1987.tb10538.x. PMID 3028790.
- ^ Essen LO, Klar T (June 2006). "Light-driven DNA repair by photolyases". Cellular and Molecular Life Sciences. 63 (11): 1266–1277. doi:10.1007/s00018-005-5447-y. PMC 11136382. PMID 16699813. S2CID 5897571.
- ^ Friedberg EC (January 2003). "DNA damage and repair". Nature. 421 (6921): 436–440. Bibcode:2003Natur.421..436F. doi:10.1038/nature01408. PMID 12540918.
- ^ a b c Cox B, Game J (August 1974). "Repair systems in Saccharomyces". Mutation Research. 26 (4): 257–64. doi:10.1016/s0027-5107(74)80023-0. PMID 4605044.
- ^ Buis JM, Cheek J, Kalliri E, Broderick JB (September 2006). "Characterization of an active spore photoproduct lyase, a DNA repair enzyme in the radical S-adenosylmethionine superfamily". The Journal of Biological Chemistry. 281 (36): 25994–26003. doi:10.1074/jbc.M603931200. PMID 16829680.
- ^ Takasawa K, Masutani C, Hanaoka F, Iwai S (2004-03-08). "Chemical synthesis and translesion replication of a cis-syn cyclobutane thymine-uracil dimer". Nucleic Acids Research. 32 (5): 1738–1745. doi:10.1093/nar/gkh342. PMC 390339. PMID 15020710.
- ^ Gulston M, Knowland J (July 1999). "Illumination of human keratinocytes in the presence of the sunscreen ingredient Padimate-O and through an SPF-15 sunscreen reduces direct photodamage to DNA but increases strand breaks". Mutation Research. 444 (1): 49–60. doi:10.1016/s1383-5718(99)00091-1. PMID 10477339.
- ^ Sander M, Sander M, Burbidge T, Beecker J (December 2020). "The efficacy and safety of sunscreen use for the prevention of skin cancer". CMAJ. 192 (50): E1802 – E1808. doi:10.1503/cmaj.201085. PMC 7759112. PMID 33318091.