Ethonam
![]() | |
| Identifiers | |
|---|---|
| |
| CAS Number | |
| PubChem CID | |
| ChemSpider | |
| UNII | |
| KEGG | |
| ChEMBL | |
| CompTox Dashboard (EPA) | |
| Chemical and physical data | |
| Formula | C16H18N2O2 |
| Molar mass | 270.332 g·mol−1 |
| (verify) | |
Ethonam is an antifungal agent.
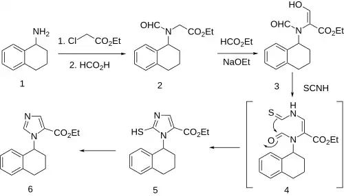
Synthesis

2-Aminotetralin () is alkylated with ethylchloroacetate to afford the glycine derivative. Heating with formic acid then affords the amide (2). This compound is then reacted with ethyl formate to yield hydroxymethylene ester (3). Reaction with isothiocyanic acid gives the imidazole-2-thiol (5). The sequence may first involve hydrolysis of the formamido group, followed by addition of the amine to isothiocyanic acid; cyclization of the thiourea nitrogen with the formyl function would complete formation of the heterocycle. Desulfurization by means of Raney nickel finishes the synthesis of ethonam (6).
References
- ^ Godefroi EF, Van Cutsem J, Van Der Eycken CA, Janssen PA (November 1967). "1-(1-indanyl)- and 1-(1-tetralyl)imidazole-5-carboxylate esters, a novel type of antifungal agents". Journal of Medicinal Chemistry. 10 (6): 1160–1. doi:10.1021/jm00318a039. PMID 6056048.
