Furoin

Furoin
Names
IUPAC name
1,2-bis(2-furyl)-2-hydroxy-ethanone
Identifiers
3D model (JSmol)
ChEMBL
ChemSpider
ECHA InfoCard 100.008.205
EC Number
  • 209-024-8
UNII
  • InChI=1S/C10H8O4/c11-9(7-3-1-5-13-7)10(12)8-4-2-6-14-8/h1-6,9,11H checkY
    Key: MIJRFWVFNKQQDK-UHFFFAOYSA-N checkY
  • O=C(c1occc1)C(O)c2occc2
Properties
C10H8O4
Molar mass 192.170 g·mol−1
Except where otherwise noted, data are given for materials in their standard state (at 25 °C [77 °F], 100 kPa).
checkY verify (what is checkY☒N ?)
Infobox references

Furoin or 1,2-di(furan-2-yl)-2-hydroxyethanone is an organic compound with formula C10H8O4. It can be produced from furfural by a benzoin condensation reaction catalyzed by cyanide ions.[1]

Reactions

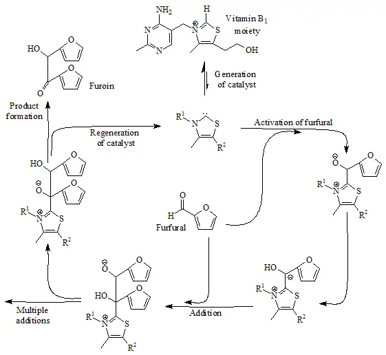
Furoin synthesis from furfural is also catalyzed by vitamin B1 (thiamine). In 1957, Ronald Breslow proposed that this reaction involves a relatively stable carbene form of thiamine.[2][3] In the catalytic cycle shown below two molecules of furfural react to give furoin, via a thiazol-2-ylidene catalyst, resulting from loss of one proton at carbon 2 of the thiazolium cation of vitamin B1:

Furoin formation from furfural, catalysed by thiamine

This was the first evidence for the existence of persistent carbenes.

Uses

Furoin has been used as a plasticizer.[1]

References

  1. ^ a b Denis Lorient (1999), New ingredients in food processing: biochemistry and agriculture. Woodhead Publishing ISBN 1-85573-443-5 366 pages
  2. ^ Ronald Breslow (1957). "Mechanism of Thiamine Action: Participation of a Thiazolium Zwitterion". Chemistry and Industry. 26: 893.
  3. ^ R. Breslow (1957). "Rapid Deuterium Exchange in Thiazolium Salts". Journal of the American Chemical Society. 79 (7): 1762–1763. doi:10.1021/ja01564a064.