Hannō Station

SI26
Hannō Station

飯能駅
Hannō Station south exit in June 2024
General information
Location11-21 Nakachō, Hannō-shi, Saitama-ken 357-0035
Japan
Coordinates35°51′05″N 139°19′06″E / 35.8515°N 139.3184°E / 35.8515; 139.3184
Operated by Seibu Railway
Line(s)SI Seibu Ikebukuro Line
Distance43.7 km from Ikebukuro
Platforms1 side + 2 island platforms
ConnectionsBus stop
Other information
Station codeSI26
History
Opened15 April 1915
Passengers
FY201932,929 daily
Services
Preceding station Seibu Following station
Yokoze
SI35
Chichibu Irumashi
SI23
towards Ikebukuro
Terminus Musashi
Seibu-Chichibu
SI36
Terminus
S-Train
(weekends and national holidays)
Irumashi
SI23
Terminus F Liner
Ikebukuro Line
Rapid Express
Irumashi
SI23
towards Ikebukuro or Nerima
Ikebukuro Line
Express
Commuter Express
Rapid
Semi Express
Motokaji
SI25
towards Ikebukuro
Higashi-Hannō
SI27
towards Agano
Ikebukuro Line
Local
Location
Hannō Station is located in Saitama Prefecture
Hannō Station
Hannō Station
Location within Saitama Prefecture

Hannō Station (飯能駅, Hannō-eki) is a passenger railway station located in the city of Hannō, Saitama, Japan, operated by the private railway operator Seibu Railway.

Lines

Hannō Station is served by the Seibu Ikebukuro Line from Ikebukuro in Tokyo, with some services inter-running via the Tokyo Metro Yurakucho Line to Shin-Kiba and the Tokyo Metro Fukutoshin Line to Shibuya and onward via the Tokyu Toyoko Line and Minato Mirai Line to Motomachi-Chukagai. Located between Motokaji and Higashi-Hannō, it is 43.7 km from the Ikebukuro terminus.[1] Hannō is a terminating station, with trains continuing to Seibu-Chichibu reversing here.[2]

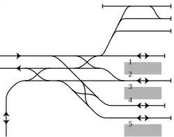
Station layout

Track diagram
Buffer stop at the end of a severed former run-round track to the west of the station, October 2010

The station consists of one ground-level side platform and two island platforms, serving a total of four terminating tracks.[2]

Platforms

1  Seibu Ikebukuro Line for Tokorozawa, Nerima, and Ikebukuro
Y Tokyo Metro Yurakucho Line for Shin-Kiba
F Tokyo Metro Fukutoshin Line for Shibuya
TY Tōkyū Tōyoko Line for Yokohama
Minatomirai Line for Motomachi-Chukagai
2/3  Seibu Ikebukuro Line for Seibu-Chichibu
4  Seibu Ikebukuro Line for Tokorozawa, Nerima, and Ikebukuro
Y Tokyo Metro Yurakucho Line for Shin-Kiba
F Tokyo Metro Fukutoshin Line for Shibuya
TY Tōkyū Tōyoko Line for Yokohama
Minatomirai Line for Motomachi-Chukagai
5  Seibu Ikebukuro Line for Tokorozawa and Ikebukuro (Limited express services)
for Seibu-Chichibu (Limited express services)

History

The station forecourt of Hanno Station circa 1935

The station opened on 15 April 1915.[1]

Station numbering was introduced on all Seibu Railway lines during fiscal 2012, with Hannō Station becoming "SI26".[3]

Through-running to and from Yokohama and Motomachi-Chukagai via the Tokyu Toyoko Line and Minatomirai Line commenced on 16 March 2013.[4]

Passenger statistics

In fiscal 2019, the station was the 30th busiest on the Seibu network with an average of 32,929 passengers daily.[5] The passenger figures for previous years are as shown below.

Fiscal year Daily average
2000 37,156[1]
2009 34,106[6]
2010 32,932[7]
2011 32,293[8]
2012 32,463[9]
2013 32,897[9]

Surrounding area

North exit

South exit

See also

References

  1. ^ a b c Terada, Hirokazu (July 2002). データブック日本の私鉄 [Databook: Japan's Private Railways]. Japan: Neko Publishing. p. 201. ISBN 4-87366-874-3.
  2. ^ a b Kawashima, Ryozo (February 2011). 日本の鉄道 中部ライン 全線・全駅・全配線 第11巻 埼玉南部・東京多摩北部 [Railways of Japan - Chubu Line - Lines/Stations/Track plans - Vol 11 Southern Saitama and Northern Tama Tokyo]. Japan: Kodansha. pp. 19–73. ISBN 978-4-06-270071-9.
  3. ^ 西武線全駅で駅ナンバリングを導入します [Station numbering to be introduced at all Seibu stations] (PDF). News Release (in Japanese). Japan: Seibu Railway. 23 February 2012. Archived from the original (PDF) on 2015-09-24. Retrieved 22 February 2013.
  4. ^ 東急東横線・メトロ副都心線相互直通、16日スタート [Tokyu Toyoko Line and Tokyo Metro Fukutoshin Line inter-running to start on 16 March]. Nikkei.com (in Japanese). Japan: Nikkei Inc. 15 March 2013. Retrieved 2 April 2013.
  5. ^ 駅別乗降人員(2019年度1日平均 [Average daily station usage figures (fiscal 2019)] (PDF) (in Japanese). Japan: Seibu Railway. Retrieved 6 January 2021.
  6. ^ 駅別乗降人員 2010(平成22)年度 1日平均 [Average daily station usage figures (fiscal 2010)] (PDF) (in Japanese). Japan: Seibu Railway. Archived from the original (PDF) on 26 June 2011. Retrieved 22 February 2013.
  7. ^ 各駅の乗車人員 (2010年度) [Station passenger figures (Fiscal 2010)] (in Japanese). Japan: East Japan Railway Company. Retrieved 22 February 2013.
  8. ^ 駅別乗降人員 2011(平成23)年度 1日平均 [Average daily station usage figures (fiscal 2011)] (PDF) (in Japanese). Japan: Seibu Railway. Archived from the original (PDF) on 1 November 2012. Retrieved 22 February 2013.
  9. ^ a b 駅別乗降人員 2013(平成25)年度 1日平均 [Average daily station usage figures (fiscal 2013)] (PDF) (in Japanese). Japan: Seibu Railway. Archived from the original (PDF) on 14 July 2014. Retrieved 22 June 2014.

Media related to Hannō Station at Wikimedia Commons