Hexanitroethane

Hexanitroethane
Names
Preferred IUPAC name
Hexanitroethane
Identifiers
3D model (JSmol)
ChemSpider
ECHA InfoCard 100.011.857
EC Number
  • 213-042-1
  • InChI=1S/C2N6O12/c9-3(10)1(4(11)12,5(13)14)2(6(15)16,7(17)18)8(19)20 checkY
    Key: CCAKQXWHJIKAST-UHFFFAOYSA-N checkY
  • InChI=1/C2N6O12/c9-3(10)1(4(11)12,5(13)14)2(6(15)16,7(17)18)8(19)20
    Key: CCAKQXWHJIKAST-UHFFFAOYAX
  • C(C([N+](=O)[O-])([N+](=O)[O-])[N+](=O)[O-])([N+](=O)[O-])([N+](=O)[O-])[N+](=O)[O-]
Properties
C2N6O12
Molar mass 300.0544
Melting point 135 °C (275 °F; 408 K)
Related compounds
Related compounds
Nitroethane
Tetranitromethane
Trinitromethane
Hexanitrobenzene
Octanitrocubane
Except where otherwise noted, data are given for materials in their standard state (at 25 °C [77 °F], 100 kPa).
checkY verify (what is checkY☒N ?)
Infobox references

Hexanitroethane (HNE) is an organic compound with chemical formula C2N6O12 or (O2N)3C-C(NO2)3. It is a solid matter with a melting point of 135 °C.

Hexanitroethane is used in some pyrotechnic compositions as a nitrogen-rich oxidizer, e.g. in some decoy flare compositions and some propellants. Like hexanitrobenzene, HNE has been investigated as a gas source for explosively pumped gas dynamic lasers.

A composition of HNE as oxidizer with boron as fuel is being investigated as a new explosive.[1]

Preparation

The first synthesis was described by Wilhelm Will in 1914, using the reaction between the potassium salt of tetranitroethane with nitric acid.[2]

C2(NO2)4K2 + 4 HNO3 → C2(NO2)6 + 2 KNO3 + 2 H2O

A practicable method for industrial use starts with furfural,[3] which first undergoes oxidative ring-opening by bromine to mucobromic acid.[4] In the following step, mucobromic acid is reacted with potassium nitrite at just below room temperature to form the dipotassium salt of 2,3,3-trinitropropanal. The final product is obtained by nitration with nitric acid and sulfuric acid at −60 °C.

Properties

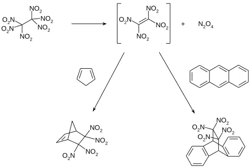
The thermal decomposition of hexanitroethane has been detected at 60 °C upwards in both the solid and solution phases.[5] Above 140 °C, this can occur explosively.[6] The decomposition is first order and is significantly faster in solution than in the solid. For the solid, the following reaction can be formulated:[5]

C2(NO2)6 → 3 NO2 + NO + N2O + 2 CO2

For the decomposition in solution, tetranitroethylene is first formed and can be trapped and detected as a Diels–Alder adduct, for example with anthracene or cyclopentadiene.[7][8]

References

  1. ^ Compatibility Testing of Hexanitroethane with Boron Archived September 30, 2007, at the Wayback Machine
  2. ^ Will, W. (1914). "Über das Hexanitro-äthan". Berichte der Deutschen Chemischen Gesellschaft (in German). 47 (1): 961–965. doi:10.1002/cber.191404701154.
  3. ^ US 3101379, "Synthesis of hexanitroethane", issued 1961-01-04 
  4. ^ Taylor, G. (2015). "MUCOBROMIC ACID". Organic Syntheses: 11–12. doi:10.15227/orgsyn.000.0011.
  5. ^ a b Marshall, Henry P.; Borgardt, Frank G.; Noble, Paul (1965). "Thermal Decomposition of Hexanitroethane 1a,b". The Journal of Physical Chemistry. 69 (1): 25–29. doi:10.1021/j100885a007. ISSN 0022-3654.
  6. ^ Bretherick, L. (18 March 2017). Bretherick's Handbook of Reactive Chemical hazards. Urben, P. G. (8th ed.). Amsterdam. pp. 240–241. ISBN 978-0-08-101059-4. OCLC 982005430.{{cite book}}: CS1 maint: location missing publisher (link)
  7. ^ Griffin, T. Scott; Baum, Kurt (1980). "Tetranitroethylene. In situ formation and Diels-Alder reactions". The Journal of Organic Chemistry. 45 (14): 2880–2883. doi:10.1021/jo01302a024. ISSN 0022-3263.
  8. ^ Tzeng, Dongjaw; Baum, Kurt (1983). "Reactions of hexanitroethane with alcohols". The Journal of Organic Chemistry. 48 (26): 5384–5385. doi:10.1021/jo00174a053. ISSN 0022-3263.

Further reading

  • Schmidt, Eckart W. (2022). "Hexanitroethane". Nitroaliphatic Compounds. Encyclopedia of Oxidizers. De Gruyter. pp. 2301–2304. doi:10.1515/9783110750294-016. ISBN 978-3-11-075029-4.