muco-Inositol

muco-Inositol
Names
IUPAC name
muco-Inositol[1]
Systematic IUPAC name
(1R,2r,3S,4R,5r,6S)-Cyclohexane-1,2,3,4,5,6-hexol
Identifiers
3D model (JSmol)
ChEBI
ChemSpider
ECHA InfoCard 100.006.983
UNII
  • InChI=1S/C6H12O6/c7-1-2(8)4(10)6(12)5(11)3(1)9/h1-12H/t1-,2-,3-,4+,5+,6+ checkY
    Key: CDAISMWEOUEBRE-GNIYUCBRSA-N checkY
  • O[C@H]1[C@H](O)[C@@H](O)[C@@H](O)[C@H](O)[C@H]1O
Properties
C6H12O6
Molar mass 180.156 g·mol−1
Except where otherwise noted, data are given for materials in their standard state (at 25 °C [77 °F], 100 kPa).
checkY verify (what is checkY☒N ?)
Infobox references

Muco-inositol is one of nine stereo-isomers of inositol. It is involved in Na-path sensory transduction, and a derivative is viscumitol.

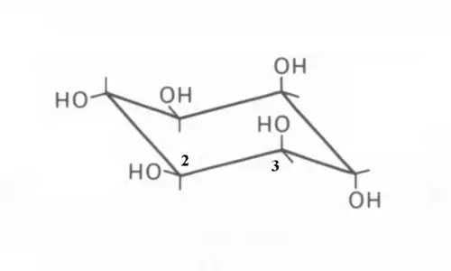
The standardized numbering for atoms in the various inositol isomers has changed significantly since the 1950s. Only literature subsequent to 1988 adopts the modern convention, which is based on phosphorylation patterns in biological systems.[2] In particular, the #1 atom is typically bound with a phosphoester in the hydrated sodium receptor.

Muco-inositol, drawn in the chair conformation. Note the diaxial or axial-trans-hydroxyl pairs at atoms (3,4) and (4,5)

See also

References

  1. ^ International Union of Pure and Applied Chemistry (2014). Nomenclature of Organic Chemistry: IUPAC Recommendations and Preferred Names 2013. The Royal Society of Chemistry. p. 1415. doi:10.1039/9781849733069. ISBN 978-0-85404-182-4.
  2. ^ NC-IUB (Moss, G. ed.) (1988) Numbering of atoms in myo-inositol http://www.chem.qmul.ac.uk/iupac/cyclitol/myo.html