Talipexole

Talipexole
Clinical data
Trade namesDomin
Other namesAlefexole
AHFS/Drugs.comInternational Drug Names
Routes of
administration
Oral
ATC code
  • none
Legal status
Legal status
  • In general: ℞ (Prescription only)
Identifiers
  • 6-allyl-5,6,7,8-tetrahydro-4H-[1,3]thiazolo[4,5-d]azepin-2-amine
CAS Number
PubChem CID
IUPHAR/BPS
ChemSpider
UNII
ChEMBL
CompTox Dashboard (EPA)
Chemical and physical data
FormulaC10H15N3S
Molar mass209.31 g·mol−1
3D model (JSmol)
  • n1c2c(sc1N)CCN(CC2)C\C=C

  • DIHYDROCHLORIDE: C=CCN1CCC2=C(CC1)SC(=N2)N
  • InChI=1S/C10H15N3S/c1-2-5-13-6-3-8-9(4-7-13)14-10(11)12-8/h2H,1,3-7H2,(H2,11,12) ☒N
  • Key:DHSSDEDRBUKTQY-UHFFFAOYSA-N ☒N
 ☒NcheckY (what is this?)  (verify)

Talipexole (B-HT920, Domnin) is a dopamine agonist that is marketed as a treatment for Parkinson's Disease in Japan by Boehringer Ingelheim; it was introduced in 1996.[1] As of December 2014 it was not approved for marketing in the US nor in Europe.[2]

Talipexole is a D2 dopamine receptor agonist and interacts with both pre- and post-synaptic receptors. It also is an α2-adrenergic agonist.[3]

The main side effects are drowsiness, dizziness, hallucinations and minor gastrointestinal complaints.[3] In Japan, Ministry of Health, Labour and Welfare mandated in 2008 that Boehringer add a warning to the label concerning the risk of sudden onset of sleep.[4]: 15 

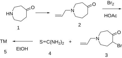
Synthesis

Synthesis:[5] Patents:[6][7] Sino:[8]

The N-alkylation of azepan-4-one [105416-56-6] (1) with allyl bromide in the presence of potassium carbonate gives 1-allyl-azepan-4-one (2). This is halogenated with molecular bromine in acetic acid to give 1-allyl-5-bromohexahydro-4-azepinone (3). The last step involves cyclization with thiourea (4) in refluxing ethanol, completing the synthesis of talipexole (5).

See also

References

  1. ^ PharmaLetter 22 July 1996 First Launch In Japan For Talipexole
  2. ^ EvaluatePharma Database. Page accessed 9 December 2014
  3. ^ a b Benkert O, Müller-Siecheneder F, Wetzel H (1995). "Dopamine agonists in schizophrenia: a review". European Neuropsychopharmacology. 5 Suppl: 43–53. doi:10.1016/0924-977x(95)00022-h. PMID 8775758. S2CID 1600286.
  4. ^ Japanese Ministry of Health, Labour and Welfare March 2008 Pharmaceuticals and Medical Devices Safety Information No. 245 Archived 2014-12-10 at the Wayback Machine
  5. ^ Serradell, M.N.; Blancafort, P.; Castaner, J.; Thorpe, P.J. Drugs Fut 1980,5(10),481.
  6. ^ Gerhart Dipl-Chem Dr Griss, 3 More » idem, DE 2040510  (1972 to Thomae Gmbh Dr K).
  7. ^ G Griss, M Kleemann, W Grell, H Ballhause, U.S. patent 3,804,849 (1974 to Boehringer Sohn Ingelheim
  8. ^ Deng Xianglin, et al. CN 104031072  (2014 to Chongqing Zen Pharmaceutical Co Ltd.).