Toloxatone

Toloxatone
Clinical data
Routes of
administration
Oral
ATC code
Legal status
Legal status
  • In general: uncontrolled
Identifiers
  • 5-(hydroxymethyl)-3-m-tolyloxazolidin-2-one
CAS Number
PubChem CID
ChemSpider
UNII
KEGG
ChEBI
ChEMBL
CompTox Dashboard (EPA)
ECHA InfoCard100.045.006
Chemical and physical data
FormulaC11H13NO3
Molar mass207.229 g·mol−1
3D model (JSmol)
  • O=C2OC(CO)CN2c1cccc(c1)C
  • InChI=1S/C11H13NO3/c1-8-3-2-4-9(5-8)12-6-10(7-13)15-11(12)14/h2-5,10,13H,6-7H2,1H3 checkY
  • Key:MXUNKHLAEDCYJL-UHFFFAOYSA-N checkY

Toloxatone (Humoryl) is an antidepressant launched in 1984 in France by Sanofi Aventis for the treatment of depression. It was discontinued in 2002.[1] It acts as a selective reversible inhibitor of MAO-A (RIMA).[2]

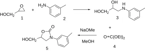
Synthesis

The reaction between glycidol (1) and m-toluidine (2) gives 3-m-toluidinopropane-1,2-diol (3). Treatment with diethyl carbonate (4) in the presence of sodium methoxide leads to an intermolecular cycloaddition to give tomoxatone.[3][4][5]

See also

References

  1. ^ "Humoryl 200mg gelule 30".
  2. ^ Berlin I, Zimmer R, Thiede HM, et al. (December 1990). "Comparison of the monoamine oxidase inhibiting properties of two reversible and selective monoamine oxidase-A inhibitors moclobemide and toloxatone, and assessment of their effect on psychometric performance in healthy subjects". British Journal of Clinical Pharmacology. 30 (6): 805–16. doi:10.1111/j.1365-2125.1990.tb05445.x. PMC 1368300. PMID 1705137.
  3. ^ Sungurbey, K .; Castaer, J .; Toloxatone. Drugs Fut 1976, 1, 12, 569.
  4. ^ Douzon, C.; Fauvan, C.; Une nouvelle serie d'antidpresseurs: les derivs de l'hydroxymthyl-5-oxazolidinone-2. Chimie Thrapeutique 1973, 3, 324-327.
  5. ^ DE2012120 Claude P Fauran, Guy M Raynaud, Rene A Oliver, Colette A Douzon, U.S. patent 3,655,687 (1972 to Delalande Sa).