The following T-SQL takes about 25 seconds on my machine with SSMS v17.9:
DECLARE @outer_loop INT = 0,
@big_string_for_u VARCHAR(8000);
SET NOCOUNT ON;
WHILE @outer_loop < 50000000
BEGIN
SET @big_string_for_u = 'ZZZZZZZZZZ';
SET @outer_loop = @outer_loop + 1;
END;
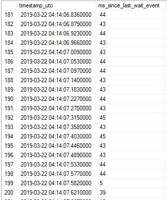
It accumulates 532 ms of ASYNC_NETWORK_IO waits according to both sys.dm_exec_session_wait_stats and sys.dm_os_wait_stats. The total wait time increases as the number of loop iterations increases. Using the wait_completed extended event I can see that the wait happens roughly every 43 ms with a few exceptions:
In addition, I can get the call stacks that occur right before the ASYNC_NETWORK_IO wait:
sqldk.dll!SOS_DispatcherBase::GetTrack+0x7f6c
sqldk.dll!SOS_Scheduler::PromotePendingTask+0x204
sqldk.dll!SOS_Task::PostWait+0x5f
sqldk.dll!SOS_Scheduler::Suspend+0xb15
sqllang.dll!CSECCNGProvider::GetBCryptHandleFromAlgID+0xf6af
sqllang.dll!CSECCNGProvider::GetBCryptHandleFromAlgID+0xf44c
sqllang.dll!SNIPacketRelease+0xd63
sqllang.dll!SNIPacketRelease+0x2097
sqllang.dll!SNIPacketRelease+0x1f99
sqllang.dll!SNIPacketRelease+0x18fe
sqllang.dll!CAutoExecuteAsContext::Restore+0x52d
sqllang.dll!CSQLSource::Execute+0x151b
sqllang.dll!CSQLSource::Execute+0xe13
sqllang.dll!CSQLSource::Execute+0x474
sqllang.dll!SNIPacketRelease+0x165d
sqllang.dll!CValOdsRow::CValOdsRow+0xa92
sqllang.dll!CValOdsRow::CValOdsRow+0x883
sqldk.dll!ClockHand::Statistic::RecordClockHandStats+0x15d
sqldk.dll!ClockHand::Statistic::RecordClockHandStats+0x638
sqldk.dll!ClockHand::Statistic::RecordClockHandStats+0x2ad
sqldk.dll!SystemThread::MakeMiniSOSThread+0xdf8
sqldk.dll!SystemThread::MakeMiniSOSThread+0xf00
sqldk.dll!SystemThread::MakeMiniSOSThread+0x667
sqldk.dll!SystemThread::MakeMiniSOSThread+0xbb9
Finally, I noticed that SSMS uses a surprising amount of CPU during the loop (about half a core on average). I'm unable to figure out what SSMS is doing during that time.
Why does a simple loop cause ASYNC_NETWORK_IOwaits when executed through SSMS? The only output that I appear to get from the client from this query execution is the "Commands completed successfully." message.


