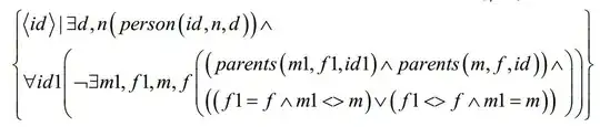
I saw a Tuple Relational Calculus formula, and it contained the symbol <>.
What does it mean?

I saw a Tuple Relational Calculus formula, and it contained the symbol <>.
What does it mean?

<> is not defined in relational calculus (or anywhere in math). It however is often used in programming languages (like SQL) to express "not equal". The correct sign would be the equal sign with a vertical line through its center. (= and | on top of each other).