3

I have a cable like this with 4 wires inside. Each wire is 20 AWG.

I've been told that I can twist the ends together (i.e. green and red, white and black) on both ends of the cable and this will effectively increase the wire gauge.

This would make perfect sense to me if the wires were naked (no green/red/white/black plastic coat around it) so it would be copper twisted the full length instead of just the ends... does the coat affect the current? I'm not an electrician or EE so I'm not too sure about this.

I want to use this for sprinkler valves.

4-wire cable

Jack
  • 339
  • 1
  • 6
  • 14

4 Answers4

5

If you twist two wires together, each would carry half the current, so you'd "effectively increase the gauge." American Wire Gauges go down by about 10 for every factor of ten in cross-sectional area. If you had ten #20 wires connected in parallel, they could carry as much power as one #10 wire. With two #20 wires, you'd have the equivalent of one #17 wire.

(A handy "rule of thumb" value: #40 copper wire has about an Ohm of resistance for each foot. By the rule above, #30 would have an Ohm for every ten feet, and #20 an Ohm for every 100 feet.)

Note that connecting wires in parallel may work at DC or low frequency AC. For audio, RF, or other purposes, you'd just mess up the wire characteristics, and cause yourself problems.

William Watson
  • 351
  • 1
  • 4
  • Note that due to skin effect, the improvement can be better than the ratio of cross-sectional areas (but then you'd probably be using stranded wire anyway). – Ben Voigt Jun 12 '15 at 20:27
  • 1
    What if I twisted two #20 bare copper wires the whole length? – Jack Jun 12 '15 at 20:52
  • 1
    How would the skin depth of four insulated #20 round copper conductors connected together at their ends "mess up" the wire characteristics at audio frequencies any more than a single round conductor of equal cross-sectional area would? – EM Fields Jun 12 '15 at 23:21
  • @ Jack: You'd have roughly the equivalent cross-sectional area of a single #17 wire. – EM Fields Jun 12 '15 at 23:23
  • 2
    @EM Fields: If a design counts on the use of twisted pairs to provide some immunity to picking up noise (RF, 60 Hz, whatever), but someone "being clever" instead connected the ends of wires together in order to "effectively increase the gauge," the system might not work as well as intended. I didn't have in mind "skin depth" as the concern.

    This isn't a concern at all for running power to lawn sprinkler valve solenoids. More relevant would be the quality of the cable jacket. Will it protect the wire from moisture? Is it rated for outdoor use? That may matter more than wire gauge.

    – William Watson Jun 13 '15 at 00:19
  • @EMFields So you're saying it makes no difference then. Whether it is bare or not, it will still be equivalent to #17 gauge. – Jack Jun 13 '15 at 02:31
  • @WilliamWatson: Part 1) 1.In this application it appears that the wires aren't twisted pairs, but a spiraled quad. That makes them, effectively, the same as four straight wires laid next to each other for the length of the cable. Then, since the question of noise reduction wasn't even broached by the OP, it's irrelevant. 2. You're right; I attributed the reference to skin depth to you when it was someone else that brought it up. Sorry 'bout that, but then the question becomes: "How will insulated conductors in parallel mess up the wire characteristics with reference to a single conductor?" – EM Fields Jun 13 '15 at 06:51
  • @ William Watson: Part 2) 3. Since the cable is already installed, I don't think paralleling the wires into pairs will alter what's already there at all. – EM Fields Jun 13 '15 at 06:55
  • @ Jack: As far as resistance goes, yes. – EM Fields Jun 13 '15 at 06:59
  • I missed that the cable was already installed. For this application, with the cable already in place, the OP's question of effective wire gauge is likely all that matters. It seems that Jack is good to go.

    With the cable already in place, the questions of cable jackets and moisture are moot. It is what it is. I also agree that noise isn't an issue for this application.

    – William Watson Jun 15 '15 at 18:40
3

Doubling the conductors has the effect of reducing the equivalent AWG by a factor of 3 (as in 1x 20AWG = 20 AWG; 2x 20 AWG = 17 AWG equivalent).

In order for the effect to continue with additional cable conductors, doubling is required each time (eg 2x 20 AWG = 17 AWG equivalent, to go down (larger) another 3 AWG would require doubling your 17 AWG equivalent once more; ie 4x 20 AWG = 14 AWG equivalent, 8x 20 AWG = 11 AWG equivalent; to go down another 3 AWG equivalent now requires 16 conductors, then 32, and so on).

Whether it's advisable to create a substitute cable in this way is debatable, and dependent on application, (it affects certain peramaters such as cable capacitance, inductance, and in AC frequency {audio, Radio, digital} applications may cause smearing of the signal if each conductor is not the exact same length physically and electrically), but if you want to use an existing installed cable, it may be adequate.

Bundling of cable (what you are effectively doing) reduces the heat dissipation capacity of the cable, so some safety factor should be considered (ie don't use a 2x 20 AWG cable for DC power if the application is power and requires a minimum or specified 17 AWG, but if the requirement is greater than 17 AWG but less than 20 AWG it might be OK, or if heat is not normally an issue, such as loudspeaker cable, heat dissipation issues can be ignored). Again, all depending on application.

Johnny1
  • 31
  • 2
  • 1
    Good comment, but this topic is 3 years old... – Linkyyy Sep 11 '18 at 19:00
  • 4
    @Linkyyy - Stackexchange is not a forum, it's a Q&A site. Thus as long as an answer provides something new and is of high quality, it should be fine, regardless of the question's age. For example, if I ask: "Can a fuse be damaged by high voltage?", the answer, either the same day or three years later, is still "Yes". If someone four years later searches the same question, there will already be an answer, and they won't have to waste space and time asking the same thing. – Bort Sep 11 '18 at 19:17
1

On a uniform wire the resistance is defined as: R=(p*L)/A

p = Resistivity of material

L = length of wire

A = area of cross section

Increasing the area by twisting several wires together makes area larger = the resistance smaller. As the power dissipated by a resistance (your wire in this case) can be calculated with:

Power=Current^2 * Resistance That means that lowering the resistance will make your wire less hot. If you have too high resistance the wire gets hot, it might burn off or burn soemthing else, in worst case cause fire. If the current is small, probably the most annoying effect will be that at the end of the wire the voltage you put in will have decreased because of the resistance.

I don't know if a sprinkler in this case means a fire extinguishing sprinkler or just a gardening sprinkler. If it is for safety equipment I would surely get the correct wire gauge from the start, to not risk that a twisted wire gets "untwisted" so the sprinkler won't be able to operate.

Dejvid_no1
  • 3,598
  • 18
  • 24
  • 1
    It's a gardening sprinkler which generally recommend 18 AWG wire. Reason I'm asking is cause I have this cable installed already and it would be more convenient to place the irrigation control unit. Just wanted to make sure this won't cause me issues. – Jack Jun 12 '15 at 20:49
  • Then go for the twist! :) – Dejvid_no1 Jun 12 '15 at 21:27
  • @Jack: your four AWG 20s twisted together at the ends will be equal to an AWG 14, so it should be fine. But... what will you be using for the return? – EM Fields Jun 12 '15 at 22:59
  • Me thinks he is twisting 2 twice. Double Area which should give him AWG 17. – StainlessSteelRat Jun 12 '15 at 23:08
  • @StainlessSteelRat: Methinks you is right. :) – EM Fields Jun 13 '15 at 07:03
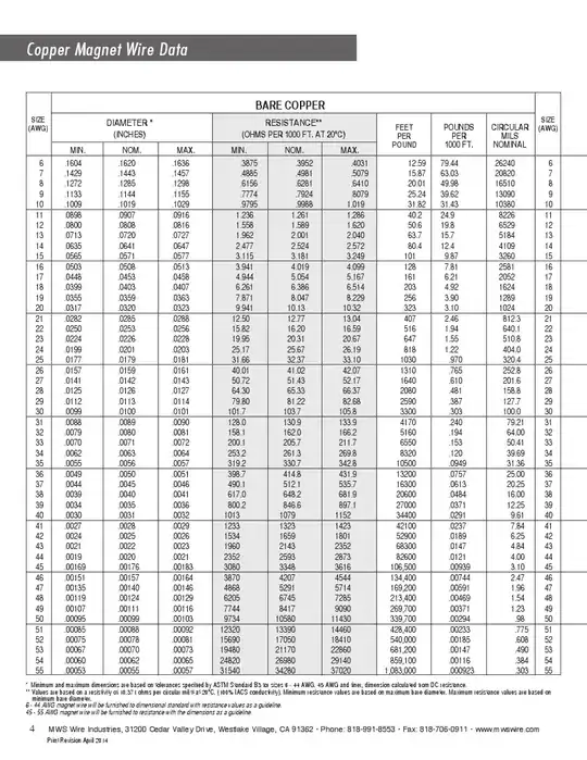
1

It'll effectively "increase the gauge" by lowering the resistance of each pair of two paralleled conductors to 1/2 the resistance of a single conductor.

From the table below, 20 AWG has a resistance of 10.13 ohms per thousand feet, so 1/2 of that would be 5.06 ohms per thousand feet, which corresponds, roughly, to 17 AWG at 5.054 ohms per thousand feet.

enter image description here

EM Fields
  • 17,527
  • 2
  • 19
  • 23
  • Oops... I misread the original question as asking for all of the conductors twisted together. It's fixed now. Thanks @StainlessSteelRat. – EM Fields Jun 12 '15 at 23:58