I am attempting to write a synthesizable verilog (or Systemverilog) module. I also want to make the modul parameterizable, which has presented a problem when trying to connect the following structure of multipliers and adders:

The problem with this is the following. If I want to make it parameterizable, I don't know how to connect it in verilog. So to be more specific. I want to know which verilog construct to use to achieve this interconnections in a elegant manner.
I have tried with the code bellow, but I get:
"Single value range is not allowed in packed dimension".
The code bellow is Systemverilog:
module vector_multiply #(parameter N = 8, parameter M = 3)(
input clk,
input ce,
input rst,
input [N-1:0] a [M-1:0],
input [N-1:0] b [M-1:0],
output reg [N-1:0] res // result of vector dot product
);
localparam ADDER_DEPTH = $clog2(M);
wire [N-1:0] w [1<<ADDER_DEPTH][ADDER_DEPTH+1]; // multiplier/adder interconnect wires
reg [N-1:0] mult_res [M-1:0];
genvar i,j;
// MULT_MACRO: Multiply Function implemented in a DSP48E
// Artix-7
// Xilinx HDL Language Template, version 2018.2
for (i = 0; i < M; i = i + 1)
begin
MULT_MACRO #(
.DEVICE("7SERIES"), // Target Device: "7SERIES"
.LATENCY(3), // Desired clock cycle latency, 0-4
.WIDTH_A(N), // Multiplier A-input bus width, 1-25
.WIDTH_B(N), // Multiplier B-input bus width, 1-18
.WIDTH_P(N)
) MULT_MACRO_inst (
.P(mult_res[i]), // Multiplier output bus, width determined by WIDTH_P parameter
.A(a[i]), // Multiplier input A bus, width determined by WIDTH_A parameter
.B(b[i]), // Multiplier input B bus, width determined by WIDTH_B parameter
.CE(ce), // 1-bit active high input clock enable
.CLK(clk), // 1-bit positive edge clock input
.RST(rst) // 1-bit input active high reset
);
end
for (i = 0; i < M; i = i + 1) begin
w[0][i] = multi_res[i];
end
// If there is a odd number of elements in a vector (multiplications) then, add one so that all adders have a defined input
if ((M % 2) == 1) begin
w[0][M] = 0;
end
// The multiplicated results need to be adder (dot product).
for (i = 0; i > ADDER_DEPTH; i = i + 1) begin : layer_loop
for (j = 0; j < (1<<(i-1)); j = j + 2) begin : inner_loop
full_adder_Nb #(N) FA_Nb(w[i][j], w[i][j+1], w[i+1][j/2],0);
end : inner_loop
end :layer_loop
endmodule
In this semi akward atempt I get errors in the following lines:
- w[0][i] = multi_res[i];
- w[0][M] = 0;
Again I am looking for either suggestions how to fix this code, or some better way to write it.
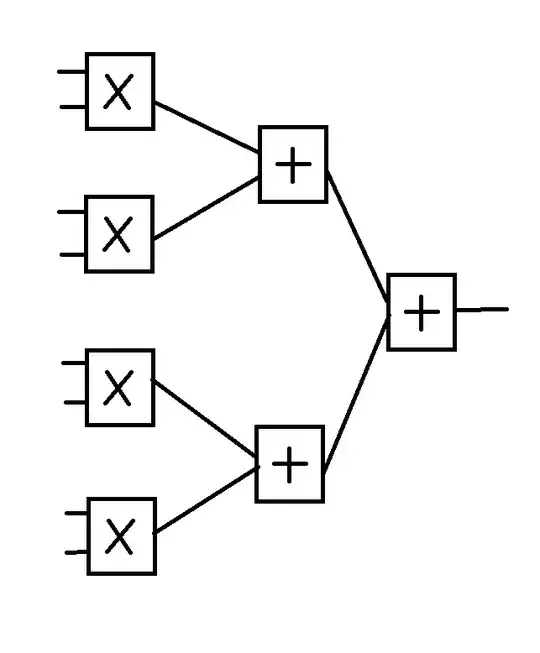
NOTE: N is the number of bits a number has, M is the number of elements in a vector (the pic bellow is for M = 4).
wire [W-1:0] interconnect [0:M];Then I just increment the index from 0 to M whilst building up the structures. have a look here: https://electronics.stackexchange.com/questions/370467/how-to-write-a-for-generate-statement-to-generate-multiple-instances-of-this-par/370503#370503 – Oldfart Dec 26 '18 at 11:52mult_res[]as areg, butmulti_res[]in thefor-loop & prose. – greybeard Feb 25 '24 at 14:18