Let's consider this equivalent electrical model of a crystal:
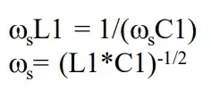
The evaluation of its series self resonance frequency is quite simple: it is sufficient to impose that the reactance of L1 is equal and opposite to that of C1, and this leads to the result:
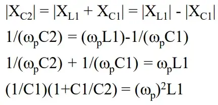
But I have some problems about determining the parallel resonance frequency. Precisely, I read this procedure:
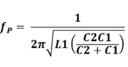
From which we get:
But I do not understand the equality of reactances set at this passage:

In fact we are evaluating a parallel resonance frequency, and so we should impose that the susceptances of the two parallel elements, (L1, R1, C1) and (C2), are equal and opposite. And because of the presence of R1, the susceptance of (L1, R1, C1), i.e. its admittance's imaginary part, is not simply equal to the reciprocal of the reactance of L1 and C1.




