1

Can anyone explain to me how I would find the frequency charactertics of a low pass filter?

enter image description here

How can I choose frequencies and find corresponding gains?

Is the frequency from the x-axis constant or variable?

David777
  • 1,578
  • 13
  • 35
Akila.sr
  • 11
  • 3
  • The graphs seem clear enough so what is it that you are struggling with? – Andy aka Sep 11 '19 at 09:00
  • No i'm asking mathematical procedure of finding Gain in Y-xis, and how do you choose frequency in X-axis, I need entire procedure to get the output as graph that i attached above – Akila.sr Sep 11 '19 at 09:10
  • Impedance of C is 2πfC. Now make the equation for ratio of Voutput to Vinput. It'll work out as Vo/Vi = 1/ (1 + 2πfC.R1) Notice that R2 is irrelevant. If you plot this, you'll get your graph. – Soldersmoke Sep 11 '19 at 09:26
  • Your first task is to write a mathematical expression for Z, where Z is the circuit inside the dotted lines. Z is a function of f. That is, you put in f and you get a Z. So, your chart has f as the X axis and Z on the Y axis. – JRE Sep 11 '19 at 09:27
  • Once you have Z, you can make a chart like your example by figuring Z for many f. Apply the noted formula (on your example chart) to get a properly scaled chart in decibels. – JRE Sep 11 '19 at 09:30
  • F values can be choosed randomly or it is within particular limits?? – Akila.sr Sep 11 '19 at 10:30
  • f is your frequency, so the input. (similar as 'x' in functions). You chose your own domain in which you are interested. f = 0 is DC. In the graph f goes from 10 to 1e6. – Swedgin Sep 11 '19 at 10:34
  • What about AC?? – Akila.sr Sep 11 '19 at 10:37
  • 1
    @Soldersmoke: 2πfC is the capacitor's susceptance, not it's impedance. – Bart Sep 11 '19 at 10:53
  • Express the capacitor in its Laplace form, $\frac{1}{sC_1}$, determine $TF = \frac{output: impedance}{input: impedance}$, then let $s\rightarrow j\omega$ – Chu Sep 11 '19 at 16:34
  • 1
    @Chu LoL. OP is still working out what is ac, dc and frequency, and you're taking him into Laplace? LoL. – Soldersmoke Sep 12 '19 at 04:11
  • @soldersmoke Filters are hardly at the 'what is AC' stage. Look at the answer that the OP has accepted. – Chu Sep 12 '19 at 07:22
  • @chu I'm looking at his comments on here. Clicking on an 'accept' doesn't imply anything. Copy-pasting doesn't require that much knowledge either. – Soldersmoke Sep 12 '19 at 07:36
  • @Soldersmoke Clicking on an 'accept' doesn't imply anything - well that's a revelation. And who is copy-pasting here? – Chu Sep 12 '19 at 07:40
  • @chu well, the OP of course. What's got your dander up m'lad ?? – Soldersmoke Sep 12 '19 at 17:36

2 Answers2

2

What you need is a transfer function linking the response (what you observe across \$C_1\$) and the stimulus (what you inject across \$R_2\$). There are plenty of possibilities to determine this transfer function and I recommend using the fast analytical circuits techniques or FACTs.

The principle is simple: reduce the stimulus voltage to 0 V or replace the input source by a short circuit. Then temporarily remove the capacitor from its connecting terminals and "look" through these connections to determine what is the resistance \$R\$. See the below exercise for your problem:

enter image description here

If you look through the connection, by inspection, you can see that the resistance is \$R_1\$. The time constant associated with this circuit is therefore \$\tau_1=R_1C_1\$. The transfer function linking \$V_{out}\$ to \$V_{in}\$ in the Laplace domain is thus expressed as \$H(s)=\frac{1}{1+\tau_1s}=\frac{1}{1+\frac{s}{\omega_p}}\$ in which \$\omega_p=\frac{1}{R_1C_1}\$.

You could also apply an impedance divider formula and say \$H(s)=\frac{\frac{1}{sC_1}}{\frac{1}{sC_1}+R_1}\$ but it takes longer time to develop and rearrange. Furthermore, you can make mistakes when developing the expression.

Once you have this formula, you need to determine its magnitude and phase in order to get the graph you shown. The magnitude will be expressed in dB while the \$x\$-axis will be log-compressed: what is horizontally plotted won't be \$f\$ but \$Log(f)\$. The magnitude of a complex number \$z=x+jy\$ is \$|z|=\sqrt{x^2+y^2}\$. If you replace \$s\$ by \$s=j\omega\$ in the expression \$H(s)\$, then you have \$H(j\omega)=\frac{1}{1+j\frac{\omega}{\omega_p}}\$ and the magnitude you want to plot in the vertical axis is simply \$|H(\omega)|=\frac{1}{\sqrt{1+(\frac{\omega}{\omega_p})^2}}\$. To plot this magnitude function, simply calculate \$y(\omega)=20Log{|H(\omega)|}\$ and you will have a vertical axis in dB. When \$\omega\$ is zero, the magnitude is 1 (no attenuation) or 0 dB. When \$\omega=\omega_p\$ the magnitude is 0.707 or -3 dB. This the so-called cutoff frequency. And as \$\omega\$ increases beyond this point, the magnitude keeps going down with a slope of -20 dB per decade (also called a -1 slope).

The phase is obtained by remembering that the argument of \$z\$ is \$arg(z)=\arctan(\frac{y}{x})\$. With a quotient as we have with \$H\$, the argument is that of the numerator minus that of the denominator. Therefore, \$arg(H(\omega))=arg(1)-\arctan(\frac{\omega}{\omega_p})=-\arctan(\frac{\omega}{\omega_p})\$. The below Mathcad sheet shows how this looks like with typical components values.

enter image description here

Verbal Kint
  • 21,968
  • 1
  • 18
  • 55
0

Freq Response calculation of LP filter

Ignore R2, R2 doesn't come into the calculation

Phase of Vc to Vin = -arctan (2 * pi * f * R * C)

Simplified version of above equation.....

Simplified equations

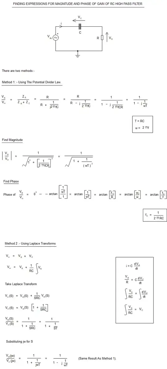
LP Filter Gain & Phase Derivation

Just for completeness, I've also included the High Pass Filter gain derivations below.

HP Filter gain & Phase Derivation

Let’s say that the cut-off frequency (-3dB frequency) of the filter, fc = 1/(2πRC).

At 1/10th the cut-off frequency, the amplitude of the voltage across the capacitor is nearly equal to Vin and the amplitude of the voltage across the resistor is very small. At 10X the cut-off frequency, the amplitude of the voltage across the resistor is nearly equal to Vin and the amplitude of the voltage across the capacitor is very small.

At 1/10th the cut-off frequency, the voltage across the capacitor is almost in phase with Vin and the voltage across the resistor leads Vin by almost 90֯. This is because the current through the capacitor leads its voltage by 90֯ and therefore, (because the voltage across a resistor and current through it are always in phase), the voltage across the resistor must also be 90֯ ahead of the voltage across the capacitor.

At 10X the cut-off frequency, the voltage across the resistor is almost in phase with Vin and the voltage across the capacitor lags Vin by 90֯. Again, because the current through a capacitor leads its voltage by 90֯ it means that the capacitor’s voltage must lag the resistor’s voltage by 90֯.

So it is always true for these simple RC filters that the resistor’s voltage leads the capacitor’s voltage by 90֯.

The above description for the relative phase and magnitude’s of the capacitor’s and resistor’s voltages are true irrespective of whether the RC filter is configured as a high pass or low pass. If we need a high pass filter then we take the output from across the resistor. If we need a low pass filter then we take the output from across the capacitor. It is just convenient to reference the component that we need to take the output from to 0 volts.

Just for completeness....

RL low pass filter gain and phase derivation

RL high pass filter gain and phase derivation

The RL filters' low pass and high pass outputs have exactly the same response as the RC filters' low pass and high pass outputs.

As for the RC filters, for the LR filters the magnitude and phase of the signals across the resistors is identical, as is the magnitude and phase of the signals across the inductors. The only difference between the two RL filters is which component is referenced to 0V and therefore across which component the output is taken from.

For the RL filters the low pass output is taken from across the resistors (for the RC low pass filters the output is taken from across the capacitors). For the RL filters the high pass output is taken from across the inductors (for the RC high pass filters the output is taken from across the resistors).

So, for both RL and RC filters the phase of the low pass outputs goes from 0 degrees to -90 degrees as frequency increases and the phase of the high pass outputs goes from +90 degrees to 0 degrees as the frequency increases.