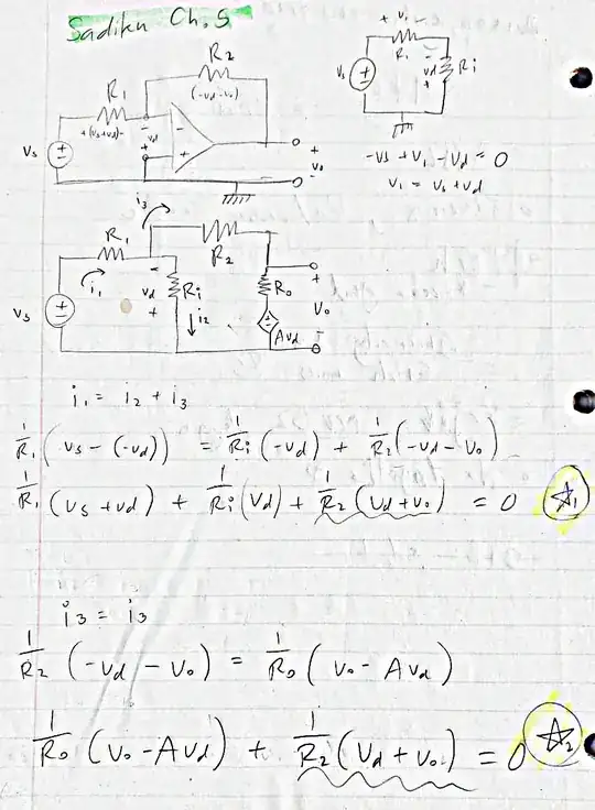
How do I derive an expression for v_o / v_s?
This answer fills some gaps but it doesn't tell me how they came up with the expression for V^- (corresponding to -v_d in my notation).
ETA: here's what I've worked out. This seems correct but also seems to imply that the expected answer $$\frac{v_o}{V_{s}}=-\dfrac{R_2}{R_1+\dfrac{R_1+R_2}{A} }$$ isn't exactly correct since it doesn't account for the input resistance. I understand that it's negligible, etc. but I'd still like to find an exact expression.


