5

The voltage over a coil is u(t)=100⋅sin(100t+pi/3) V and current through it i(t)=20⋅sin(100t).

First off let's calculate the impedance, I'm quite sure I'm correct on this one.

enter image description here enter image description here

This is where I get stuck because now I need to calculate resistance of the coil and inductance.

I know that Z=jwL, w=100 (from the sine functions) and then I can get L to be Z/jw. The problem here is that Z has an angle. I cannot figure out how to get over that problem. I'm also confused about calculating the coil's resistance, because the impedance is in ohms. Isn't that the resistance then?

Gripen
  • 167
  • 9
  • What units do you expect impedance to be in? – evildemonic Apr 05 '22 at 18:58
  • Well impedance is in Ohm? But I guess thats not the soil resistance? – Gripen Apr 05 '22 at 18:59
  • Usually, when we talk about impedance (as opposed to resistance) it is because we are analyzing AC conditions. Resistance is for DC. Resistance is a simplified view of impedance, otherwise they are essentially the same thing. – evildemonic Apr 05 '22 at 19:02
  • Okey, so could it be that the resistance should be the amplitudes for both voltage and current function using ohms law? So R=U/I=100/20=5 Ohms? – Gripen Apr 05 '22 at 19:05
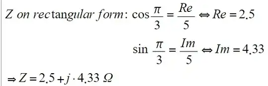
  • Try to convert Z into the algebraic form (a + jb) = R + jX. – G36 Apr 05 '22 at 19:12
  • You have to look at the phases of the voltage and current. If you multiply the two sin waves together, and average the product (instantaneous power) over an entire cycle, the DC component of the power waveform corresponds to resistance. The rest is from inductance. – Cristobol Polychronopolis Apr 05 '22 at 19:13
  • 1
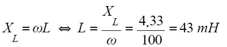
    @Gripen You are there!! The rectangular form separates out the resistance from the inductance for you. You know you have 2.5 Ohms, now. And you know that the remainder has to be omega*L, right? So 2.5 Ohms in series with about 43.3 mH. – jonk Apr 05 '22 at 19:20
  • 1
    @Gripen Here's what a calculator I coded up says. It confirms the work you've mostly completed, already! I just multiplied I by Z to get V. – jonk Apr 05 '22 at 19:29
  • @jonk So if I understand you correctly. I have an impedance of Z=2.5+4.33j. From this I can seperate the 2.5 Ohm because that is inductance. And the remainder 4.33 is the inductance? Or I should calculate inductance from 4.33? Because if I understood you 4.33=omega*L therefore L=4.33/omega? – Gripen Apr 05 '22 at 19:32
  • 1
    @Gripen Well, in rectangular form the real part is the real resistance (resistor value) and the imaginary part is either inductance or else capacitance. (I believe you know that the resistance of the coil can be taken to be "in series" or, therefore, a simple (+) operation.) You know that the reactance of L is omegaL, right? And you know that omega=100. So, it follows that 4.33 = 100L, or that L=4.33/100. So, yes. The equation I wrote into my calculator, (2.5+43.3012702mH)*20, says to add (place in series) 2.5 Ohms with 43.3012702 mH and then multiply that result by the current, 20 A. – jonk Apr 05 '22 at 19:34
  • 1
    @Gripen You can now write your own answer here! (It is allowed.) And then you can select it as the answer to your own question, too. Feel free, if you want. I believe you understand things well enough. And the process of writing out an answer will help you deepen what you've figured out. Writing answers isn't only for those who want to teach or to demonstrate knowledge and gain points here. It's also a very good tool to help burnish in, deepen, and/or entrench something into yourself that you feel you know but where the expression of it here makes you think more deeply about it and retain it. – jonk Apr 05 '22 at 19:40
  • @jonk Thanks for clear explanation! – Gripen Apr 05 '22 at 19:42
  • 1
    @Gripen - Hi, As usual jonk gives very good advice :-) that you can self-answer your own question. The one "wrinkle" I must explain, is that you cannot accept your own answer (accepting any answer effectively marks the question as solved) until 48 hours has elapsed since you asked the question. That is to give time for other, perhaps better, answers to be given too. So do, please, write an answer, but remember the 48 hours-before-you-can-accept-your-own-answer time. Thanks. – SamGibson Apr 05 '22 at 19:46

1 Answers1

2

Having Z on rectangular form. The real resistance is the real part of Z=2.5+j*4.33. Therefore R=2.5 Ohm. Reactance is the imaginary part and has the formula: enter image description here

Gripen
  • 167
  • 9