Bistable memory cells with paired inverters are very standard and basic building blocks (was used in Intel 8086 for example. ) But why not use paired buffers instead?
-
How do you implement a buffer in any given technology? – Tim Williams Jul 27 '22 at 23:58
-
that seems a bit unrelated to the question. you can make one analogous to an inverter but output on opposite side of transistor. but, seems besides the question. – BipedalJoe Jul 28 '22 at 00:08
-
2Yes, why not, because a buffer is just two inverters, so paired buffers are just four paired inverters. It would help if you would draw a diagram what you mean, but if two inverters are all you need, using double the amount of inverters for same functionality than two would just be waste of time, energy, money, silicon area, etc. – Justme Jul 28 '22 at 00:17
-
3Another riddle to test your perspective: why a ring of two buffers when you can just loop one on itself? – Tim Williams Jul 28 '22 at 00:29
2 Answers
Using CMOS, the natural configuration is an inverter:

simulate this circuit – Schematic created using CircuitLab
A buffer is always two inverters, especially with CMOS. So, if you're wanting to save transistors on something like an original 8086 you'll make your bistable memory cell out of inverters because they're cheap. Making it out of buffers would be redundant, because you'd be using 4 inverters instead of just 2. And if you're depending on the behavior of unbuffered inverters (useful appnote), it might actually not work for the application.
- 2,252
- 13
- 21
This is basically because it's hard to make non-inverting gain elements and easy to make inverting gain elements.
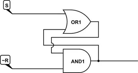
sure you can make a bistable like this.

simulate this circuit – Schematic created using CircuitLab
but making usable and or or gates without internal inverters is not practical.
so regular bistables end up like this

- 33,738
- 1
- 33
- 70