0

I'm trying to obtain the transfer function which relates the input voltage with the inductor's voltage H(s) = Vl(S)/U(s) H(s)=V_L(s)/U(s)

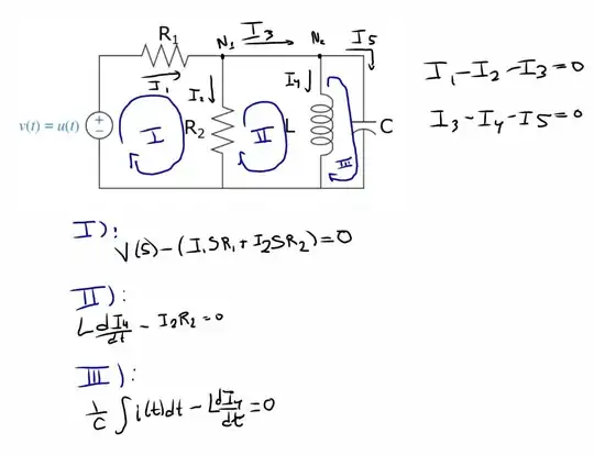
so far I've tried to use Kirchoff's Laws in order to find it. Any suggestions? I'm not familiar with this circuit so much so I'm trying to get as much info as possible. Thank you. enter image description here Edit: tried: enter image description here Edit: Vl/V(s): enter image description here

Izanami
  • 3
  • 4
  • Do you know how to apply KCL (nodal) to this problem? I see loops for meshes. So I'm just curious. One potential simplification, if you wanted to go that direction, would be to convert the voltage source and R1 and R2 into a single, different voltage source and a thevenin equivalent resistance. That would remove one part and simplify things, slightly. – periblepsis Jun 17 '23 at 23:44
  • Would that mean converting R1 and R2 into it's equivalent resistance using V(t)*R2 / (R2+R1)? – Izanami Jun 17 '23 at 23:50
  • Well, the thevenin voltage source would look like that, yes. Not the resistance. – periblepsis Jun 17 '23 at 23:52
  • Yes. But if I want to get the equivalent resistance wouldn't it be just R1+R2 since they are in series? – Izanami Jun 17 '23 at 23:54
  • No, the thevenin resistance (series) would be R1 parallel to R2. (It's possible that you are out of your depth on this one.) I believe the answer should be $\left[\frac{R_2}{R_1+R_2}\right]\cdot\left[\frac{\frac1{C_1,\cdot,\left(R_1,\mid\mid, R_2\right)}s}{s^2+\frac1{C_1,\cdot,\left(R_1,\mid\mid, R_2\right)}s+\frac1{C_1,L_1}}\right]$. (Only spent a moment on it, so I may be in error.) But I fear you aren't ready to get there. Note the use of parallel for R1 and R2? That's the thevenin resistance in play. – periblepsis Jun 17 '23 at 23:55
  • I'm afraid I'm not. I'm trying to get each loop's KVL and KCL as my edit suggests, but I think, per what you are suggesting, I'm going the wrong way. – Izanami Jun 18 '23 at 00:01
  • I can show a way. I'll try and keep it to the basics. I just hope it helps. Before I try, is there something special about u(t)? It is common to use that as a unit step function. But does it have that meaning here? It matters. – periblepsis Jun 18 '23 at 00:02
  • Well. I got to use it later to indicate (with certain R, L and C values) its damping, but I'm unsure if we need to use it as the unit step function in here. I, so far, don't know why, if I'm looking for the inductors voltage, we need to use it as u(t) – Izanami Jun 18 '23 at 00:09
  • Does $\frac{V_{\text{L}}-V\left(s\right)}{R_1}+\frac{V{\text{L}}}{R_2}+\frac{V{\text{L}}}{s,L_1}+V{\text{L}}s,C_1=0$ make sense to you as a KCL expression? (Think of 1/s as an integral sign and just s as a d/dt thing.) In the time domain, this would be $\frac{V{\text{L}}-v\left(t\right)}{R_1}+\frac{V{\text{L}}}{R_2}+\frac1{L_1}\int V{\text{L}},\text{d}t+C_1\frac{\text{d}}{\text{d}t}V{_\text{L}}=0$. – periblepsis Jun 18 '23 at 00:28
  • Okay, yes, it makes sense – Izanami Jun 18 '23 at 00:31
  • Then just solve the first one for $V_{_\text{L}}$ in the usual algebraic way. What do you get? (Once you get it, just divide by $V!\left(s\right)$, of course.) – periblepsis Jun 18 '23 at 00:32
  • After dividing by the source I get something like this: l1*r2*s/(c1*l1*r1*r2*s**2 + l1*r1*s + l1*r2*s + r1*r2). (Also, I'm just curious. How comfortable are you with the terms: homogeneous equation, non-homogeneous equation, and annihilator methods?) – periblepsis Jun 18 '23 at 00:44
  • I'm sorry, I've been trying to solve it but I'm just in a dumbloop right now. And yes, I am familiar with those terms – Izanami Jun 18 '23 at 00:49
  • Okay. I'm in no rush. Take your time and get through the algebra. I've provided something to compare with. Not the best form (there are some 'standard' ways to write it that are more 'informative'.) But good enough to check your work. (You could just start by multiplying both sides by r1*r2*l1*s for example, and then cancel terms and move things around, after.) – periblepsis Jun 18 '23 at 00:53
  • Thanks, I'm sorry again, I took a whole lot of time, but there it is. I edited the main question* – Izanami Jun 18 '23 at 01:01
  • R2, L, and C are in parallel. Use the Laplace equivalents for these components to express them as an impedance. Then use the voltage divider rule. Also , note that these three components have the same voltage across them, so there’s no value in trying to separate them. – Chu Jun 18 '23 at 01:03
  • I'm afraid I'm not following you @Chu. I've tried but I got:

    $ u(s) = I_{1}(s)R_{1} - I_{2}(s)R_{2} - I_{3}(s)+I_{4}(s)Ls+ \frac{I_{5}(s)}{Cs})$

    – Izanami Jun 18 '23 at 01:20

3 Answers3

2

I can't write this in a comment and it seems worthwhile to perform the algebra steps I took:

$$\begin{align*} \frac{V_{_\text{L}}-V\left(s\right)}{R_1}+\frac{V_{_\text{L}}}{R_2}+\frac{V_{_\text{L}}}{s\,L_1}+V_{_\text{L}} s C_1 &=0 \\\\ \frac{V_{_\text{L}}}{R_1}+\frac{V_{_\text{L}}}{R_2}+\frac{V_{_\text{L}}}{s\,L_1}+V_{_\text{L}} s C_1 &=\frac{V\left(s\right)}{R_1} \\\\ s R_1 R_2 L_1\left[\frac{V_{_\text{L}}}{R_1}+\frac{V_{_\text{L}}}{R_2}+\frac{V_{_\text{L}}}{s\,L_1}+V_{_\text{L}} s C_1\right] &=s R_1 R_2 L_1\left[\frac{V\left(s\right)}{R_1}\right] \\\\ s R_2 L_1V_{_\text{L}}+s R_1 L_1V_{_\text{L}}+R_1 R_2 V_{_\text{L}}+s^2 R_1 R_2 L_1 V_{_\text{L}} C_1 &=s R_2 L_1V\left(s\right) \\\\ \left(R_1 R_2 L_1 C_1 s^2 +s R_2 L_1+s R_1 L_1+R_1 R_2 \right)V_{_\text{L}}&=s R_2 L_1V\left(s\right) \\\\ \therefore \frac{V_{_\text{L}}}{V\left(s\right)}=\frac{R_2 L_1 s}{R_1 R_2 L_1 C_1 s^2 +\left(R_1+R_2 \right)L_1s+R_1 R_2} \end{align*}$$

You could just stop here. But there's a few standard forms for a bandpass like this that provide a little better information.

The first thing you'd want to do is to find that \$\omega_{_0}=\sqrt{\frac{b_0}{b_2}}=\sqrt{\frac{R_1 \,R_2}{R_1 \,R_2\,L_1\,C_1}}=\frac1{\sqrt{L_1\,C_1}}\$ (I use zero, not 'c' or 'p'.) You may want to highlight that fact in the resulting equation, somehow. (Yeah, \$b_2\$ is the coefficient for \$s^2\$, etc., in the denominator.)

The next thing you'd want to do is to find either the damping factor, \$\zeta\$, or else the \$Q\$. (Note: \$\zeta=\frac1{2 \,Q}\$.) It turns out that \$\zeta=\frac12\frac{b_1}{\sqrt{b_2\,b_0}}\$. (You can get \$Q=\frac{\sqrt{b_2\,b_0}}{b_1}\$, too.)

Then some standard forms are:

$$\begin{align*} \underbrace{\overbrace{K}^{\text{gain}}\cdot\overbrace{\left[\frac{2\zeta\,\omega_{_0}s}{s^2+2\zeta\,\omega_{_0}s+\omega_{_0}^{\:2}}=\frac{\frac1{Q}\left(\frac{s}{\omega_{_0}}\right)}{\left(\frac{s}{\omega_{_0}}\right)^2+\frac1{Q}\left(\frac{s}{\omega_{_0}}\right)+1}\right]}^{\text{standard bandpass form}}}_{\text{standard bandpass form with gain}} \end{align*}$$

To get it into that form, you need to wrestle with the numerator in order to split it up into the \$K\$ part and the \$\frac1{Q}\$ part (or \$2\zeta\$ part.)

\$\zeta\$ might be preferred over \$Q\$ when \$Q\le 1\$ with \$Q\$ preferred, otherwise. It's a matter of what shapes are of more concern, which may be picked out.

But you may be able to get away with any correct form and don't need to find standard forms.

periblepsis
  • 8,575
  • 1
  • 4
  • 18
  • ~When you passed from $ \omega_{0}=\sqrt{\frac{{b}{0}}{{b}{2}}} $, why is $ b_{0} = R_{1}R_{2} $?~ Its because it's the independent value, right? Also, If I were to find $ \omega_{n} $, how would it be? What's the requisition for n?, would it be $ w_{0} $ always? – Izanami Jun 18 '23 at 01:56
  • @Izanami Just look at the denominator. It can be expressed as $b_2s^2+b_1s+b_0$. That's all I meant. (I don't like 'n' or 'p' without context. Just a personal thing. Without context, I write instead $\omega_{_0}$.) If you look at the messy looking denominator, then $b_0=R_1 R_2$, etc. And it's not about being an independent value. – periblepsis Jun 18 '23 at 02:09
  • @Izanami I'd have to write about how to extract these values, and why. Luckily, that's been partly done at this site: here. It could have been written better. But at least it captures a detail or two. – periblepsis Jun 18 '23 at 02:15
  • Thank you. I've got a question, if we were to put values to each component, let's say 1k for the resistances, 100H for the inductor and 100mF for the capacitor (to get even numbers), our $ \omega $ would be $ \omega_{0} = \frac{1}{\sqrt(100[H] * 100 [mF])} $? If so, what is the unit of $ \omega $? – Izanami Jun 18 '23 at 02:31
  • @Izanami Radians per second. $\omega=2\pi,f$. You can get the frequency in Hertz from that. – periblepsis Jun 18 '23 at 02:36
  • Thank you so much for your help and patience. I learned a lot. Have a great night. – Izanami Jun 18 '23 at 02:58
  • The answer is correct but the most compact low-entropy form for this bandpass filter is $H(s)=H_{mb}\frac{1}{1+Q(\frac{\omega_0}{s}+\frac{s}{\omega_0})}$ with $H_{mb}=\frac{R_2}{R_1+R_2}$ as the mid-band gain, $Q=(R_1||R_2)\sqrt{\frac{C_1}{L_2}}$ and $\omega_0=\frac{1}{\sqrt{L_2C_1}}$. This is what the FACTs would give, just by inspection, without writing a line of algebra. – Verbal Kint Jun 18 '23 at 14:37
  • @VerbalKint Love it. Thanks. I need to learn a few more things. – periblepsis Jun 18 '23 at 22:12
  • @periblepsis, with pleasure. Design-oriented analysis or D-OA is truly what must drive the exercise, as an the end goal. We could talk about the teleology of the FACTs to be pedantic : ) It simply means you must rearrange the transfer function to serve a design purpose, like what should the values of $R_1$ and $R_2$ be for meeting a given mid-band gain for instance. Cheers! – Verbal Kint Jun 19 '23 at 06:09
1

We can obtain the transfer function much easier by applying the voltage divider formula:

\begin{equation} \begin{split} \mathscr{H}\left(\text{s}\right)&=\frac{\text{V}_\text{o}\left(\text{s}\right)}{\text{V}_\text{i}\left(\text{s}\right)}\\ \\ &=\frac{\displaystyle\text{R}_2\space\text{||}\space\text{sL}\space\text{||}\space\frac{1}{\text{sC}}}{\displaystyle\text{R}_1+\left(\text{R}_2\space\text{||}\space\text{sL}\space\text{||}\space\frac{1}{\text{sC}}\right)}\\ \\ &=\frac{\displaystyle\displaystyle\frac{\displaystyle1}{\displaystyle\frac{1}{\text{R}_2}+\frac{1}{\text{sL}}+\frac{1}{\frac{1}{\text{sC}}}}}{\displaystyle\text{R}_1+\displaystyle\frac{\displaystyle1}{\displaystyle\frac{1}{\text{R}_2}+\frac{1}{\text{sL}}+\frac{1}{\frac{1}{\text{sC}}}}}\\ \\ &=\frac{\displaystyle\displaystyle\frac{\displaystyle1}{\displaystyle\frac{1}{\text{R}_2}+\frac{1}{\text{sL}}+\text{sC}}}{\displaystyle\text{R}_1+\displaystyle\frac{\displaystyle1}{\displaystyle\frac{1}{\text{R}_2}+\frac{1}{\text{sL}}+\text{sC}}}\\ \\ &=\frac{\displaystyle\frac{1}{\text{R}_2}+\frac{1}{\text{sL}}+\text{sC}}{\displaystyle\frac{1}{\text{R}_2}+\frac{1}{\text{sL}}+\text{sC}}\cdot\frac{\displaystyle\displaystyle\frac{\displaystyle1}{\displaystyle\frac{1}{\text{R}_2}+\frac{1}{\text{sL}}+\text{sC}}}{\displaystyle\text{R}_1+\displaystyle\frac{\displaystyle1}{\displaystyle\frac{1}{\text{R}_2}+\frac{1}{\text{sL}}+\text{sC}}}\\ \\ &=\frac{1}{\displaystyle\text{R}_1\left(\displaystyle\frac{1}{\text{R}_2}+\frac{1}{\text{sL}}+\text{sC}\right)+1}\\ \\ &=\frac{\text{R}_2}{\displaystyle\text{R}_1\left(\displaystyle\frac{\text{R}_2}{\text{R}_2}+\frac{\text{R}_2}{\text{sL}}+\text{sCR}_2\right)+1}\\ \\ &=\frac{\text{R}_2}{\displaystyle\text{R}_1\left(\displaystyle1+\frac{\text{R}_2}{\text{sL}}+\text{sCR}_2\right)+1}\\ \\ &=\frac{\text{sLR}_2}{\displaystyle\text{R}_1\left(\displaystyle\text{sL}+\frac{\text{sLR}_2}{\text{sL}}+\text{s}^2\text{CLR}_2\right)+1}\\ \\ &=\frac{\text{sLR}_2}{\displaystyle\text{R}_1\left(\displaystyle\text{sL}+\text{R}_2+\text{s}^2\text{CLR}_2\right)+1}\\ \\ &=\frac{\text{sLR}_2}{\displaystyle\displaystyle\text{sLR}_1+\text{R}_1\text{R}_2+\text{s}^2\text{CL}\text{R}_1\text{R}_2+1}\\ \\ &=\frac{\text{sLR}_2}{\displaystyle\displaystyle\text{s}^2\text{CL}\text{R}_1\text{R}_2+\text{sLR}_1+\text{R}_1\text{R}_2+1} \end{split}\tag1 \end{equation}

Where \$\displaystyle\alpha\space\text{||}\space\beta\space\text{||}\space\gamma:=\displaystyle\frac{\displaystyle1}{\displaystyle\frac{1}{\alpha}+\frac{1}{\beta}+\frac{1}{\gamma}}\$.

When using sinusoidal functions we can use \$\text{s}:=\text{j}\omega\$. Now, we can obtain the absolute value:

\begin{equation} \begin{split} \left|\space\underline{\mathscr{H}}\left(\text{j}\omega\right)\right|&=\left|\frac{\text{j}\omega\text{LR}_2}{\displaystyle\displaystyle\left(\text{j}\omega\right)^2\text{CL}\text{R}_1\text{R}_2+\text{j}\omega\text{LR}_1+\text{R}_1\text{R}_2+1}\right|\\ \\ &=\frac{\left|\text{j}\omega\text{LR}_2\right|}{\left|\displaystyle\text{j}\omega\text{LR}_1+\text{R}_1\text{R}_2-\omega^2\text{CL}\text{R}_1\text{R}_2+1\right|}\\ \\ &=\frac{\omega\text{LR}_2}{\displaystyle\sqrt{\left(\text{R}_1\text{R}_2-\omega^2\text{CL}\text{R}_1\text{R}_2+1\right)^2+\left(\omega\text{LR}_1\right)^2}}\\ \\ &=\frac{\omega\text{LR}_2}{\displaystyle\sqrt{\left(\text{R}_1\text{R}_2\left(1-\omega^2\text{CL}\right)+1\right)^2+\left(\omega\text{LR}_1\right)^2}} \end{split}\tag2 \end{equation}

In order to find the argument, lets define \$\alpha:=\text{R}_1\text{R}_2\left(1-\omega^2\text{CL}\right)+1\$ and \$\beta:=\omega\text{LR}_1\$. So, we get:

\begin{equation} \begin{split} \arg\left(\space\underline{\mathscr{H}}\left(\text{j}\omega\right)\right)&=\arg\left(\frac{\text{j}\omega\text{LR}_2}{\displaystyle\text{j}\omega\text{LR}_1+\text{R}_1\text{R}_2\left(1-\omega^2\text{CL}\right)+1}\right)\\ \\ &=\arg\left(\text{j}\omega\text{LR}_2\right)-\arg\left(\text{j}\omega\text{LR}_1+\text{R}_1\text{R}_2\left(1-\omega^2\text{CL}\right)+1\right)\\ \\ &=\frac{\pi}{2}-\displaystyle\begin{cases} \displaystyle0&\space\text{if}\space\displaystyle\alpha=0\space\wedge\space\beta=0\\ \\ \displaystyle\frac{\pi}{2}&\space\text{if}\space\displaystyle\alpha=0\space\wedge\space\beta>0\\ \\ \displaystyle\pi&\space\text{if}\space\displaystyle\alpha<0\space\wedge\space\beta=0\\ \\ \displaystyle\frac{3\pi}{2}&\space\text{if}\space\displaystyle\alpha=0\space\wedge\space\beta<0\\ \\ \displaystyle\arctan\left(\frac{\beta}{\alpha}\right)&\space\text{if}\space\displaystyle\alpha>0\space\wedge\space\beta>0\\ \\ \displaystyle\frac{\pi}{2}+\arctan\left(\frac{\left|\alpha\right|}{\beta}\right)&\space\text{if}\space\displaystyle\alpha<0\space\wedge\space\beta>0\\ \\ \displaystyle\pi+\arctan\left(\frac{\left|\beta\right|}{\left|\alpha\right|}\right)&\space\text{if}\space\displaystyle\alpha<0\space\wedge\space\beta<0\\ \\ \displaystyle\frac{3\pi}{2}+\arctan\left(\frac{\alpha}{\left|\beta\right|}\right)&\space\text{if}\space\displaystyle\alpha>0\space\wedge\space\beta<0 \end{cases}\\ \\ &=\displaystyle\begin{cases} \displaystyle\frac{\pi}{2}&\space\text{if}\space\displaystyle\alpha=0\space\wedge\space\beta=0\\ \\ \displaystyle0&\space\text{if}\space\displaystyle\alpha=0\space\wedge\space\beta>0\\ \\ \displaystyle-\frac{\pi}{2}&\space\text{if}\space\displaystyle\alpha<0\space\wedge\space\beta=0\\ \\ \displaystyle\frac{\pi}{2}-\arctan\left(\frac{\beta}{\alpha}\right)&\space\text{if}\space\displaystyle\alpha>0\space\wedge\space\beta>0\\ \\ \displaystyle-\arctan\left(\frac{\left|\alpha\right|}{\beta}\right)&\space\text{if}\space\displaystyle\alpha<0\space\wedge\space\beta>0 \end{cases} \end{split}\tag3 \end{equation}

Jan Eerland
  • 7,790
  • 12
  • 21
0

Without getting into graph theory you can solve this problem by either node voltages method or loop currents. There are 2 nodes and 3 loops and the 1'st node voltage is readily defined by the source. So it is advantageous to use node voltages. Using this method you write down the current balance for each node wihout forgetting to include the current through the voltage source current. You then replace currents with their equivalents interms of node voltages using ohms law (using Ls and 1/Cs for the inductor and the capacitor). Now you should end up with 2 unknowns 1- The current through the source at node 1 and the voltage at node 2 (Where the inductor and the capacitor are connected). You also have 2 independent sets of equations which can be solved. İf you prefer using mesh currents you must take the principal current that defines the mesh. There should be no more mesh currents then the number of meshes. Then you use the voltage equations round 3 meshes (taking care of currents being common to more than one meshes) You end up with 3 euations in 3 unknowns (3 principal mesh currents). Please note that this method is more advantageous if current sources are used. Also please take a note that picking up mesh currents and node voltages this way arent the only way. In general you use fundamental cut set equations (current balance) for solving in terms of node voltages and Use fundamental loop equations for solving in terms of loop currents. For that you will have to establish a tree of the garph (a set of branches that goes to every node of the circuit without makin a loop). But this is a more theoretical approach and involve notions of graph theory. My suggestion is the use of node voltage equations. İf you short out (combine the ends of R2, L and C) I3 in your equations you get I1 = I2 + I4 + I5 (there will be no I3). If this node is assigned as 2 then you have : (V1-V2)/R1 = V2(1/R2 + 1/Ls + Cs) and V1 = Vs(s) (given in time domain as V(t) in your diagram). It should be fairly easy to solve for the final equation V2(1/R1 + 1/R2 + 1/Ls + Cs) = V1/R1 for V2 in terms of component values and source voltage V1 then I1, I2,I4,I5 may easily be calculated. In fact the equation may automatically written by summing up the conductances emanating from a node with a (+) sign and those shared with another node with (-) sign and equate to zero. (Please note that R1 is shared here but we assighned I1 in opoposite direction to bring current into node 2 whereas other current directions draw current away).