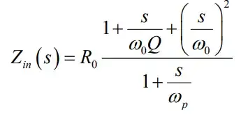
When writing the transfer function for a system, the Characteristic equation in the denominator which carries information about the poles of the system is equated with the standard second order transfer function denominator to find out the Resonant Frequency and Quality factor of the system.
The author( User: [Verbal Kint][1]) does the same when trying to find out the quality factor of Buck converter Control to Output transfer function(Page 117) and Buck converter Output impedance(Page 95) in the attached link.
But in the Page 126 , when deriving the transfer function of the Buck converter Input impedance, the author equates the numerator which carries the information about zeros in the system to find out the Quality factor and Resonant frequency of Buck converter Input impedance.
Am a beginner when it comes to writing the transfer function and control system in general.
Can someone explain, why it is equated differently for different kinds of Transfer function?
Thank you.

