8

Despite some basic knowledge in electronics, and maybe because of my non-english tongue, I don't understand the term "fractional-order circuit", that I've read on a paper. Could a specialist explains the meaning of this term, as well as the applications of this field ?

That seems to be an emergent theme in EE (or resurgent) ?

Also Stability Analysis of Fractional-Order Circuits

Glorfindel
  • 1,245
  • 3
  • 15
  • 20
JCLL
  • 397
  • 3
  • 14

2 Answers2

1

Fractional-Order Circuit is applied Fractional-Calculus to Circuit Analysis

Not much knowledge in this field but heard something about Resistoductance, which is one component that incorporates fractional-order dynamics. It's a "linear electrical circuit element that posses the characteristics between an ohmic resistor and an inductor"

enter image description here

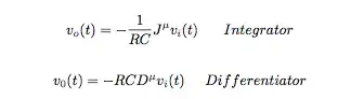
Fractional Integrator and Differentiator Equations:

enter image description here

enter image description here

Glorfindel
  • 1,245
  • 3
  • 15
  • 20
Iancovici
  • 2,246
  • 17
  • 28
1

'Nonlinear Noninteger Order Systems: Theory and Applications' by Paolo "Arena, R. Caponetto, M Porto, L. Fortuna, M." Porto (2001) Is a good book in this area.

Areas of applicability are: Non-inductive transmission lines, 1/f noise spectra, polarization effects in dielectrics, diffusion effects and a lot of acoustic effects. Some interesting control theory arises from the use of non-integer order control systems, the most well known is CRONE (french acronym for Command Robuste d'Ordre Non-Entier) - it provides for damping that is insensitive to the parameters of the system being controlled. There are even non linear \$PID\$ systems, of the form \$PI^\lambda D^\mu \$. Image processing with variable gamma is also a very common thing that people experience.

placeholder
  • 30,170
  • 10
  • 63
  • 110