I asked this question over at Aviation.stackexchange but after that I figured it might be better to place it here. Especially since there were really good answers on the NACA 5-digit-Series airfoil generation.
I would like to calculate the profile NACA 64-2A015. With the help of Aviation.stackexchange I learned that the A-Version of the profile was created to ease manufacturing by thickening the trailing edge-section (by a straight contour from 80% chord backwards).
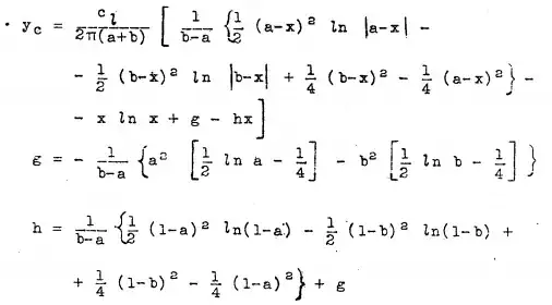
However, I am struggling to plot the profile based on the equations given here and here.
The implementation in MATLAB looks like this: Here is the Matlab code I used:
a = 0.4;
b = 1.0; % caution for NON-unity entries change the equation for h
% c = 1; to simplifiy the equation the chord is set to 1
cl = 1;
g = -1/(b-a) * (a^2 * (1/2 * log(a) -1/4) - b^2 * (1/2 * log(b) -1/4)); % g = -1/(1-a) * (a^2 * (1/2 * log(a) -1/4) + 1/4)
h = 1/(1-a) * (1/2*(1-a)^2 * log(1-a) -1/4*(1-a)^2)+g; % simplified version for b = 1: h = 1/(b-a) * (1/2*(1-a)^2 * log(1-a) - 1/2 * (1-b)^2 * log(1-b) + 1/4*(1-b)^2 - 1/4*(1-a)^2) + g
x = (0:0.001:1);
y = cl/(2*pi*(a+b)) * ( 1/(b-a) .* (1/2 * (a-x).^2 .* log(abs(a-x)) - 1/2 .* (b-x).^2 .* log(abs(b-x)) + 1/4 .* (b-x).^2 - 1/4 .* (a-x).^2) - x.*log(x) + g - h.*x); % y = cl/(2*pi*(a+1)) * ( 1/(1-a) .* (1/2 * (a-x).^2 .* log(abs(a-x)) - 1/2 .* (1-x).^2 .* log(abs(1-x)) + 1/4 .* (1-x).^2 + 1/4 .* (a-x).^2) - x.*log(x) + g - h.*x);
L6j01_x = [0, 0.005, 0.0075, 0.0125, 0.025, 0.05, 0.075, 0.1, 0.15, 0.2, 0.25, 0.3, 0.35, 0.4, 0.45, 0.5, 0.55, 0.6, 0.65, 0.7, 0.75, 0.8, 0.85, 0.9, 0.95, 1];
L6j01_y = [0, 0.01193, 0.01436, 0.01815, 0.02508, 0.03477, 0.04202, 0.04799, 0.05732, 0.06423, 0.06926, 0.0727, 0.07463, 0.07487, 0.07313, 0.06978, 0.06517, 0.05956, 0.05311, 0.046, 0.03847, 0.03084, 0.02321, 0.01558, 0.00795, 0.00032];
plot(x,y), axis equal, hold on
plot(L6j01_x, L6j01_y,'ro'), hold off
But the results do not match the data points from the Nasa-Reports
.
What did I miss to implement in the equation or is there another representation of the airfoil (excluding leading and trailing edge radius)?

