I have a question regarding the efficiency of lean burn gas engines. Maybe it is just a confusion concerning the terminology of "thermal efficiency", "brake mean pressure", "brake thermal efficiency" etc. but let's see.
Stationary gas engines in combined heat and power plants are usually run at a very high air-fuel-ratio in order maximize efficiency and reduce NOx-emission at the same time. With the introduction of more air, thermal efficiency is increased due to a higher heat capacity ratio of the gas mixture. At the same time this also results in reduced temperatures in the combustion chamber which reduceds the oxidation of nitrogen and therefore lowers nitrogenoxide emissions.
However, in literature a tradeoff between low NOx-emissions and a high engine efficiency is often mentioned.
Also, I assumed that higher temperatures in a combustion chamber were indicative of an efficient combustion, which is also not in accordance with the first paragraph.
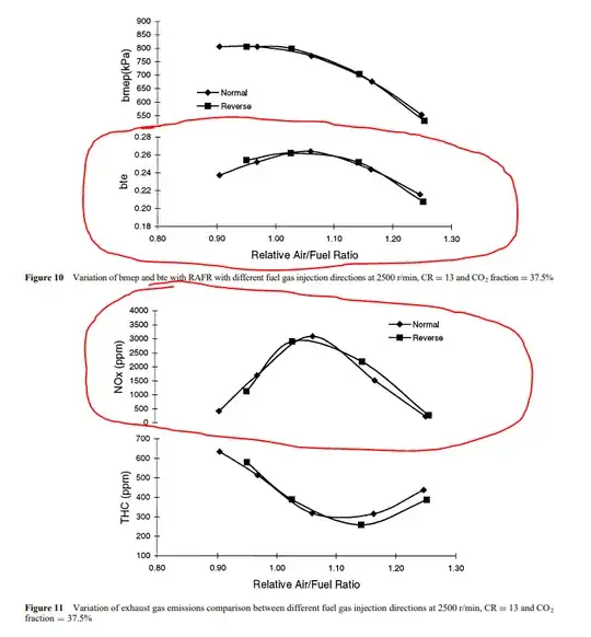
Other papers that I have read also indicate a maximum of brake thermal efficiency at the same air-fuel-ratio as the maximum NOx-emissions, which is also not in accordance with the first paragraph.
Does anyone here have a good understanding of lean burn engine mechanisms and can help me understand this? I can also provide more details regarding my own misunderstandings.
Follow up questions:
Once again, thank you for your answer, Mark. Here are some further thoughts including the graphs that confused me initially. Most notably the graph "otto cycle efficiency vs. compression ratio".
Regarding the beforementioned graph: With the increase of lambda, the isentropic exponent gamma is also increased, resulting in a higher thermal efficiency. Does this increase in efficiency also imply an increase of the available power at the crank shaft? My assumption is that the increase in efficiency also increases the available work in the p-V-diagramm of an Otto cycle (area between the 4 points of the different steps of an otto cycle). One thought experiment would be increasing lambda to infinity, therefore maximizing thermal efficiency as the isentropic exponent approaches that of air. However, this does not make much sense now as there will not be any power at the crank shaft. Or to put this whole paragraph briefly: What do I gain by an increase in thermal efficiency? Where does the statement "lean burn engines are efficient and reduce NOx-emission" originate from, when the minimum of the brake specific fuel consumption is at the same lambda as maximum NOx-emissions?
The argument of the efficiency of a lean burn engine is often used in literature, however the lowest brake specific fuel consumption occurs at a lambda only slightly higher than the stochiometric operation of the engine and quickly rises then. This is very confusing as the previos investigation of gamma would lead to the assumption that I can simply "increase lambda to get more efficiency". What is the motivation behind an increase in thermal efficiency when it cannot be used as mechanical power at the crank shaft?
Please excuse that my questions seem a little naive.
And one last very important question: When investigating lambda, is it correct that with an increase of lambda the mass of the actual fuel is reduced? Or is the mass of fuel usually held constant in such experiments and lambda is increased by adding more oxygen, effectively increasing the total mass of gas in the combustion chamber? (To make a long question short: Is the convention that total mass in the combustion chamber is held constant when varying lambda or is the fuel mass held constant and lambda is varied by adding more oxygen)


