The contents below are extracted from the linked wiki article that seems to contain the clues to your question.
"Creep behavior can be split into three main stages. In primary, or transient, creep, the strain rate is a function of time. In Class M materials, which include most pure materials, strain rate decreases over time. This can be due to increasing dislocation density, or it can be due to evolving grain size. In class A materials, which have large amounts of solid solution hardening, strain rate increases over time due to a thinning of solute drag atoms as dislocations move.[4]
In the secondary, or steady-state, creep, dislocation structure and grain size have reached equilibrium, and therefore strain rate is constant. Equations that yield a strain rate refer to the steady-state strain rate. Stress dependence of this rate depends on the creep mechanism.
In tertiary creep, the strain rate exponentially increases with stress. This can be due to necking phenomena, internal cracks, or voids, which all decrease the cross-sectional area and increase the true stress on the region, further accelerating deformation and leading to fracture.

Deformation mechanism maps
Deformation mechanism maps provide a visual tool categorizing the dominant deformation mechanism as a function of homologous temperature, shear modulus-normalized stress, and strain rate. Generally, two of these three properties (most commonly temperature and stress) are the axes of the map, while the third is drawn as contours on the map.
To populate the map, constitutive equations are found for each deformation mechanism. These are used to solve for the boundaries between each deformation mechanism, as well as the strain rate contours. Deformation mechanism maps can be used to compare different strengthening mechanisms, as well as compare different types of materials.[6]
At high stresses (relative to the shear modulus), creep is controlled by the movement of dislocations. For dislocation creep, Q = Q(self diffusion), m = 4–6, and b is less than 1. Therefore, dislocation creep has a strong dependence on the applied stress and the intrinsic activation energy and a weaker dependence on grain size. As grain size gets smaller, grain boundary area gets larger, so dislocation motion is impeded.
Dislocation creep
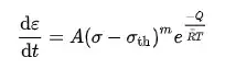
Some alloys exhibit a very large stress exponent (m > 10), and this has typically been explained by introducing a "threshold stress," σth, below which creep can't be measured. The modified power law equation then becomes:

where A, Q and m can all be explained by conventional mechanisms (so 3 ≤ m ≤ 10), R is the gas constant. The creep increases with increasing applied stress, since the applied stress tends to drive the dislocation past the barrier, and make the dislocation get into a lower energy state after bypassing the obstacle, which means that the dislocation is inclined to pass the obstacle. In other words, part of the work required to overcome the energy barrier of passing an obstacle is provided by the applied stress and the remainder by thermal energy."
https://en.wikipedia.org/wiki/Creep_(deformation)