3

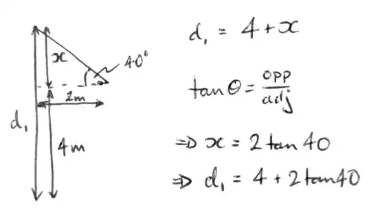
In my engineering textbook, I didnt understand the example given to explain the magnitude of the moment. It asks to calculate the magnitude of the moment about the base point O of the 600-N force in five different ways. Now, I dont understand the third way it calculated the moment. What I don't understand is why d(1) = 4 + 2 tan(40) and so the moment is 460(d(1)).

It used the principle of transmissibliity to move the vector force to point B and so we dont need one of the component as it is parallel with the distance. And to calculate the distance we have 4 + 2 tan(40). I understand upto 4 but I dont understand why we add 2tan(40). How is 2 vectored with tan(40)?

Use picture I have uploaded.

Jonathan R Swift
  • 7,811
  • 1
  • 16
  • 30
ASB
  • 133
  • 1
  • 4

1 Answers1

4

This is a trigonometry question.

Point B is a certain distance upwards from Point A. How much? You know the distance that it is to the left from Point A ($2\text{m}$) and the angle that it is from point A ($40°$), so using standard trigonometry $\tan(\theta)=\frac{opposite}{adjacent}$, you can calculate the vertical distance by rearranging to give: $opposite=adjacent\tan(\theta)$, or in this specific case, $x=2\tan(40)$, such that $d_1 = 4+2\tan(40)$.

Wasabi
  • 13,167
  • 8
  • 39
  • 62
Jonathan R Swift
  • 7,811
  • 1
  • 16
  • 30