10

As an example, consider a P-T1-system with a PID-controller. First look only at the P-T1 system, set a $y_r$ and wait a long time - then we take a look on its output $x$ and see that it has still a disturbance $d$ which variates with time (see the plot, system output $= x$). In this model, the system output is, after you wait a long time, a constant plus $d(t)$.

enter image description here

Example-Plot

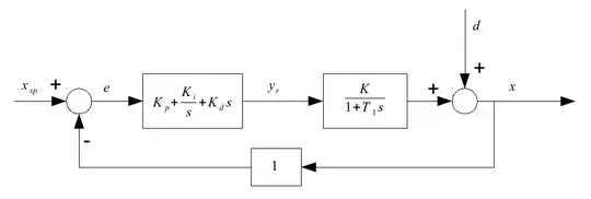
The next step is to introduce a PID-controller: enter image description here

For this loop alone we could just use some experience-based technique like the Ziegler and Nichols procedure to adjust its parameters $K_p$, $K_i$ and $K_d$ optimally. If we switch to discrete control loop, because the controller is digital, we will have one additional parameter: The $\Delta t$ at which the controller operates.

What $\Delta t$ is required for the control loop to diminish the effects of $d$ on the system output? The trend will of course be the smaller $\Delta t$ the better, but is there a general rule for the maximum $\Delta t$?

JHK
  • 1,638
  • 2
  • 19
  • 29

1 Answers1

6

The choice of time step sets the bandwidth of the control loop. The highest unity gain frequency (UGF) you can hope to achieve in the closed loop is the Nyquist frequency $$ f_N=\frac12 f_s=\frac{1}{2\,\Delta t} $$ where $\Delta t$ is the sample time. Practically, the UGF will be somewhat lower than this. This means that above this frequency your feedback will not be suppressing the disturbance fluctuations in your system.

The UGF also limits how much gain you can have at frequencies below but near the UGF. For frequencies within an order of magnitude of the UGF, $\text{UGF}/10$, you won't be able to have a gain much higher than $\sim10$. A gain of $10$ in the closed loop means that disturbance fluctuations at those frequencies are suppressed by a factor of 10.

So,the choice of operating frequency is a practical one. Faster systems are more expensive; slower systems may not provide enough disturbance suppression.

Chris Mueller
  • 6,456
  • 2
  • 29
  • 56