Most modern aircraft engines, such as the one depicted below taken from Wikipedia, are composed of several compressor stages which are driven by a turbine (or several), and a combustion chamber in-between, in order to increase the temperature of the flow.
In general, manufacturers and designers focus on increasing compression ratios as well as combustion temperatures for efficiency enhancement.
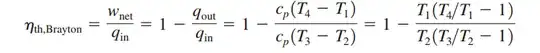
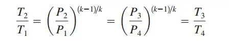
My question is, under simplifying assumptions such as perfect gas, no energy losses or friction, and constant inlet temperature and velocity: How is the efficiency of this thermodynamic cycle evaluated? How can one quantify the efficiency gain from a pressure or temperature increase?




