I am in the process of completing a design project for my fluids course in which Buckingham-Pi /Dimensional Analysis is needed to find the optimal parameters needed to achieve a rotational rate of 120 rpm.
So the question at hand is that the rotational rate of an anemometer is a function of density, viscosity, wind speed, rod length, sphere diameter, rod diameter, and number of spheres.
[Omega = f(rho,mu,Ds,Dr,Lr,N,U)] and from that we need to non-dimensionalize the parameters and get Pi groups in which we analyze and determine the optimal dimensions required to achieve a rotational rate of 120 rpm.*
I have met with the professor regarding the project and I was told that the dependent variable (group with the omega) is to be plotted on the y axis against all other groups (independent Pi groups on the x axis). He also mentioned that rho, and mu are parameters because the same results should occur regardless of the fluid used in testing.
**I have worked out the problem and have achieved the Pi Groups and even plotted them; but I do not know how to account for the the non-dimensional value N( # of spheres); or what needs to be done next. **
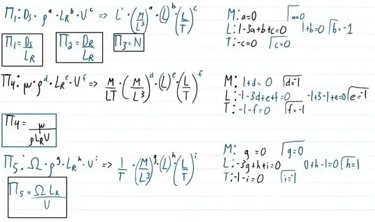
All work for Pi-Groups
Graphs/Excel Stuff
I chose random ranges that fit within the spec so is that even correct to get some data points to graph so can you do that?
(All pi groups which use rho and mu, are plugged in as the values at the top since I'm not sure what range to use for them since it can be any fluid, so not sure if my approach is even remotely correct?).
NOTE : Pi (4) when plotted was taken to be the Reynolds's # which is the inverse of the computed Pi group (I mention this on excel spreadsheet).
*First graph is dependent pi group (5) against all other pi groups.
*Second is with the avg rotational rate of 120 rpm as the parameter for the dependent pi group (5).
*Third is just wind speed Pi group (4) against omega dependent pi group (5).
Have a look and let me know if I'm doing something wrong/right.
Any and all help is appreciated :)




