recently I had an exercise where I had to build and measure an analog PID controller/filter. The starting point was this circuit.
This is a tamed PID controller implemented with a single opamp. Resistor and capacitor values are calculated regarding the crossover frequency and a 40 degree phase margin.
First question I have: When this circuit is connected to a power supply and given an input voltage(sine wave while manually editing the frequency) the output voltage slowly but surely goes up to the supply voltage level where it stands which draws the conclusion that the analog PID controller is unstable right? Or am I interpreting something wrong here? If I am right, that means that it is BIBO unstable(Since the only thing bounding the output is the opamp not the controller)
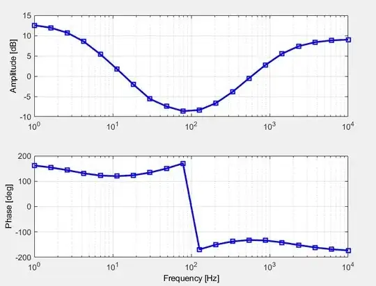
However, after a new Resistor is added parallel to R3 and C2 which makes it a PID-Controller/filter(not sure about this formulation when it is mentioned as an analog filter) it becomes stable and these are the bode plot and step response of the circuit with a new resistor.
My next question would be, does an analog controller has delay? Looking at the step response I would conclude that there is no delay. Nevertheless the delay from the step response should be calculated and compared to the delay measured from the bode plot.


