3

I was thinking about this question from quite a while back about height limits of a brick and mortar tower. One answer pointed out that, due to the high compressive strength of brick, one could build a tower 7.4 km high without taper before individual bricks fail in compression. So it seems highly likely that a high brick structure will fail in another way. One candidate for a failure (the other two that come to mind would be lateral forces and accumulated errors in the masonry) is buckling pr more precise self buckling. Wikipedia gives a formula for self buckling but for the purpose of this question the simpler case of critical stress to cause buckling is more interesting (because the formula is simpler):

$$\sigma = \frac{F}{A} = \frac{\pi^2 E}{(l/r)^2}$$

The crucial element is, I think, Youngs' modulus $E$, which represents stiffness in tension. You often hear the statement that the mortar or rather the connection brick - mortar - brick has practically no strength in tension. Intuitivly, a structure build from several parts should be worse at resisting buckling than a monolith - So the formula given above for buckling would give an upper limit to the maximum stress. However quite slender brick structures, like catalan vaults or tall chimneys, where built and withstood the test of time.

My ultimate question is: $E$ is a material constant. Strictly speaking a brick tower is a a structure made of bricks and mortar. How is the effective $E$ determined in this case?

*

mart
  • 4,811
  • 2
  • 19
  • 32

4 Answers4

2

"How is the effective E determined in this case?"

The masonry Modulus of Elasticity (Em) is commonly calculated as the chord modulus of the linear part of the masonry compression stress-strain curve, which is typically defined to be between 5% and 33% of the ultimate masonry compressive strength (f’m) (ASTM 2003a; Drysdale et al. 1999). Alternatively, Gumaste et al. (2006) used the secant modulus at 0.25 to calculate the masonry Modulus of Elasticity. The relationship between masonry compressive strength and Modulus of Elasticity can be expressed as:

$E_m = k f’_m$

where $k$ is a constant that varies from one recommendation to another. $f'm$ is the nominal compressive strength of the masonry assembly (It is the compressive strength of the assemblage of masonry units, mortar, and grout, not the masonry unit alone).

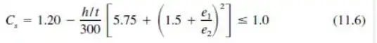
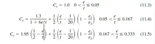
However, the Euler equation is not directly applicable to the masonry structure, rather, in design, the buckling is avoided by keeping the stress in the masonry within the code specified allowable stress, and the allowable load is calculated using an empirical equation:

$P = C_eC_sf_mA_g$

$C_e$ = Eccentricity coefficient ($e/t$)

$C_s$ = Slenderness Coefficient ($h/t$)

$f_m$ = Allowable axial compressive stress

$A_g$ = Effective gross cross-sectional area

The coefficients $C_e$ & $C_s$ are concepts inherited from the Euler Buckling Theory to control the geometries of the wall to avoid the tendency of bulging (buckling).

enter image description here enter image description here

And, the eccentricities $e_1$ & $e_2$ are obtained from the table, or chart, below.

enter image description here enter image description here https://www.angelusblock.com/resources/cmu_strengths.cfm https://www.civilengineeringx.com/bdac/Allowable-Stresses-in-Masonry/

r13
  • 8,333
  • 3
  • 10
  • 29
1

As in @alephzero's comment, the formula you refer to is wrong.

The analysis of a column of nonhomogenous, composite material can be a bit complicated.

Empirically the ancient masons had some secret codes and formula's as to how to treat tall masonry or arches and big domes.

In Iran, they have even built ancient masonry towers designed to shake per demand. My parents took me to see it when I was a child. Then later the government stopped the show to preserve the structure as national heritage.

There is a Wikipedia page on buckling under self-weight. self-buckling .

kamran
  • 23,517
  • 2
  • 22
  • 42
1

Your question is the basis of rule of mixtures for composites. This is because essentially, a brick and mortar tower is a composite structure, where as you put it, the brick is the fibre and the mortar is the matrix.

example with composites

The following image shows how the modulus is determined for tension, when the load is along the direction of the fibres.

enter image description here

**figure 1: simplification model for tensile modulus (source:Cambridge)

$$E_c = v_fE_f + (1-v_f)E_m$$

where:

  • $E_c$ is the composite effective modulus
  • $E_f, E_m$ is the modulus for fiber and matrix material
  • $v_f$ is the volume fraction for fiber (maximum value is 1).

If the load is applied perpendicularly then:

$$E_c =\left(\frac{v_f}{E_f} + \frac{1-v_f}{E_m} \right)^{-1}$$

Application to bricks:

Assume that the bricks look like

enter image description here

Then the unit cell is:

enter image description here

where:

  • b is the breadth of the brick
  • h is the height of the brick
  • t is the thickness of the mortar.

The unit cell is important because its modulus is the modulus of the whole "material".

In that case you can break up the problem and create an analogue with springs.

enter image description here

part A

For part A, you have three parallel parts which are loaded in compression. So its like having 3 springs which all have the same displacement, (assuming a 2 geometry):

Then the spring constant for each part will be:

$$k_i = \frac{E_i A_i}{L_i}$$

where:

  • $E_i$ is the material modulus
  • $A_i$ is the cross-section (assuming they have the same depth, the cross-section will be proportional to the breadth, i.e. b for brick and 2t for both mortars)
  • $L_i$ is the height,( i.e. h).

Because the displacement is the same, if a force F is applied then its distributed among all elements:

$$F_{\text{eff,A}}=F_{brick} + 2\cdot F_{mortar} $$ $$K_{\text{eff,A}} \delta_{eff,A}=k_{brick}\delta_{brick} + 2\cdot k_{mortar}\delta_{mortar} $$ $$K_{eff,A} =k_{brick}+ 2\cdot k_{mortar}$$ $$\frac{E_{eff,A} A_{eff,A}}{L_{eff,A}} =\frac{E_{brick} A_{brick}}{L_{brick}} + 2\cdot \frac{E_{mortar} A_{mortar}}{L_{mortar}} $$

but because $L_{brick} = L_{mortar}= L_{eff,A}$, $A_{eff,A}= b+2t$, $A_{brick}= b$ and $A_{mortar}=t$ :

$$E_{eff,A} (b+2t) =E_{brick} b + 2\cdot E_{mortar} t $$ $$E_{eff,A} =\frac{E_{brick} b + 2t\cdot E_{mortar} }{(b+2t) } $$

part B

The modulus of part B is the modulus of the mortar, and the spring constant is:

$$k_{eff,B} = \frac{E_{mortar} (b+2t)}{t}$$

modulus for Part A + Part B

You've got two springs in series, therefore the effective spring constant is:

$$\frac{1}{k_{eff}} = \frac{1}{k_{eff,A}} + \frac{1}{k_{eff,B}} $$ $$k_{eff}= \frac{k_{eff,A} k_{eff,B}}{k_{eff,A}+ k_{eff,B}} $$

Because the total effective spring constant is: $$k_{eff}=\frac{E_{eff} A_{eff}}{L_{eff}}$$ $$k_{eff}=\frac{E_{eff} (b+2t)}{h+t}$$

you can solve (Finally) for :

$$E_{eff} = \frac{h+t}{ b+2t}\frac{k_{eff,A} k_{eff,B}}{k_{eff,A}+ k_{eff,B}}$$

NMech
  • 24,340
  • 3
  • 38
  • 77
0

To answer this, let us first make quick list of old and new building materials:

Old: Limestone Marble Lime concrete Clay bricks/ tiles Slate

Modern: Portland cement concrete Steel Reinforced concrete Reconstructed stone Pre-cast concrete Sandlime bricks

As for bricks, modern bricks are are sandlime, they have smoother appearance than old bricks, but they're acceptable for masonry walls as veneer and decoration, but they suck for compressive retaining structures. The best building materials are practically inert, whereas the greatest defect of all modern materials is their high coefficient of expansion. This means that their seasonal and nighttime temperature differential expansion and contraction is such that expansion joints are essential; A modern brick wall has to have expansion joints every 30 feet. This breaks up the monolithic nature of any structure into little isolated blocks with expansion joints. The weathering and attrition at said joints is a long-term weakness, whereas a traditionally built structure has none of these defects because the matrix is oldschool lime mortar, instead of cement.

Think of the Pantheon in Rome, built around 120 AD; in brick and lime mortar. It's over 140 feet wide and stood for two millennia. No reinforced concrete structure could last that long because once air and moisture have penetrated to the reinforcement there is nothing which can halt its breakdown. It's why steel skyscrapers are actually better than modern highrises today which are essentially wedding cakes made of poured concrete.

LazyReader
  • 625
  • 4
  • 8