2

I need to design a hollow drum that holds steel wire rope under tension. The wire rope gets pulled from both ends with a force of 200kN, it is wrapped around the drum 5 times. The outer diameter needs to be 1m and I was thinking of using S355 for this application.

My question is: How would I go about calculating the minimum wall thickness of the drum, as to withstand the ''crushing'' pressure of the wire wrapped around it?

David
  • 31
  • 3

2 Answers2

1

if you cut the drum longitudinally into two half-cylinders you will have 10 cut ropes with a tension of 200kN.

Let's say the center to center distance of each rope is L inches (moderately small WRT. to the radius) then you have to calculate the area of the section of the barrel between the ropes and a thickness,t, and a safety factor of 1.6

$$1.6*200kN/(L*t)< \sigma y_{steel}$$

$$ t> 1.6 \frac{200kN}{L \sigma y_{steel}} $$

kamran
  • 23,517
  • 2
  • 22
  • 42
0

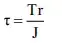
I suggest checking hoop stress due to torsion against the allowable shear stress of the drum as graphically shown below. It should be a multi steps process - 1) Assume line element with thickness t and diameter d ≈ D, then solving for t. 2) From the obtained t, solve d, then check the stress again. 3) Adjust t and repeat step 2 if necessary. enter image description here

enter image description here

enter image description here

r13
  • 8,333
  • 3
  • 10
  • 29