I've been trying to find established/novel methods for calculating ride comfort using accelerometers and recently I came across this paper which uses ISO 2631 standard to get an objective measure of ride comfort.
Upon reading the paper, it highlights that the standard objective ride measure does not correlate strongly with the subjective ride measures. Hence, the authors use NN to figure out a better correlation.
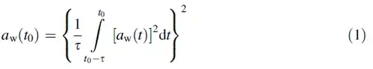
The objective measure the standard uses, as discussed in the paper(I did not buy the ISO standard yet), is the running root mean square(RMS) of acceleration to calculate weighted acceleration($a_w$). This method considers the occasional shock and transient vibration through the use of a short integration time constant.
(I think the equation is wrong because the power outside of integration should be half)
My questions:
- Has anyone here used ISO 2631 to estimate ride comfort?
- When I perform running RMS on 20,000 acceleration data points, instead of getting smoothed 20,000 points, how do I get a single/cumulative RMS or $a_w$ to estimate ride quality using table 5?

