0

The question is simple and I rather need a reference point.

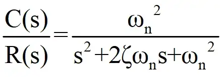
How the parameters of transients are estimated (as in the picture) from an arbitrary linear transfer function (formula is given).

enter image description here

enter image description here

ayr
  • 232
  • 1
  • 9

1 Answers1

1

Those are parameters on time domain, so calculate them in spectrum domain (laplace or fourier) is almost impossible.

So, you should apply inverse Laplace transform to get the solution in time domain, then using calculus and algebra (like first derivative zero).

The formula for each parameter is generalized so you could find it in a table. but if you want to know how calculate them, using the time domain plus evaluate the function on their derivatives is the way.

  • peak time: time at first derivative equal to zero.
  • Overshoot: function evaluated at 'peak time'.
  • $e_{ss}$: (this is easy in frequency domain) i think is setpoint minus the static gain
  • Rise time: time at first f(x)=1
  • $T_r$: time at f(x)=0.9 minus time at f(x)=0.1
  • Setting time: evaluate the exponential decay when the envelope is 95% (delta 5%)

*The formulas for those parameters are calculated starting with the standard formulation of transfer function:

enter image description here

reference 1

NMech
  • 24,340
  • 3
  • 38
  • 77