Your block diagram is an abstraction. It presents that some physical quantity named Ya in block A is determined by external world. Another physical quantity named Yab in A is common with system presented with block B and determined exclusively by processes in A; processes in B do not affect Yab. Finally a quantity named Yb in B either happens to be only interesting for us or it actually is common for B and some third system C, but determined only by processes in B. We, the observers, are a special case of C.
The diagram presents one directional cause and consequence relationship between systems. Many practical interactions are bidirectional, but they can be presented by drawing another arrow to another direction. Automation and electronics designers try to build blocks where the interactions between blocks and the external world really are in practice one directional accurately enough at least as long as certain interesting quantities do not exceed their designed valid operating ranges; for ex. voltages, currents, temperatures, velocities, forces, pressures etc... all stay in their valid ranges.
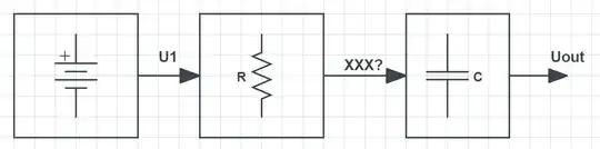
If we connect together separate electronic components with wires one may wonder how the circuit could be considered as a block diagram. An example:

The battery seems to feed R which seems to feed C which seems to output voltage Uout. So, one could think that there must be quantities and transfer functions which make the next block diagram a valid presentation for the circuit above:

Unfortunately in circuits the dependencies are much more complicated, single components can only in some lucky cases be presented as single input + single output blocks. So, the block diagram above cannot present the preceding circuit, no matter how cleverly we define the quantities between the blocks and the transfer functions of the blocks.
It would be possible if we allowed bidirectional cause-consequence relations (=bi-directional arrows) and the arrows carried 2 dimensional signals (=current and voltage at the same time). I skip that possibility.
Let's do a proper circuit analysis to find an useful way to use blocks and transfer functions. I redraw the circuit:

Uout is shortened to Uo, the current of the resistor is marked as Ir and U1 and Uo are voltages of the wires measured against the circuit ground.
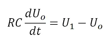
If we assume that nothing draws current out of the right end of the circuit, all current from the resistor charges the capacitor. That gives to us a possibility to write two equations for the same current Ir:

The left one is Ohm's Law and the right one is the charging law of capacitors. We write both expressions of the current Ir to be equal and get a first order differential equation for Uo. After some shuffling of terms it becomes:

We do not try to solve this equation for different voltage waveforms U1 nor initial charges in the capacitor. We try to find something more general. We Laplace transform both sides of it. We assume that the capacitor is empty at t=0. Symbols U1 and Uo present now the Laplace transforms of the voltages vs time and the differentation is replaced by multiplication factor s:

We can solve Uo and get the next expression for it:

The Laplace transform of voltage Uo is got by multiplying the Laplace transform of U1 with a factor which contains component values and Laplace transform variable s. In common electronics speech Uo is said to be got by filtering the input voltage U1 and factor 1/(1+sRC) is called "the s-domain transfer function of the filter". The filter circuit is the commonly used RC-lowpass filter.
The next block diagram shows how the filter is presented in writings where the actual electric circuit is not interesting, but one wants to show the actual filtering:

You may now wonder if cascading two identical RC-lowpass filters has transfer function

The idea is good but it contains an error. Our transfer function was based on assumption nothing draws current or at least nothing draws any substantial current out of the wire of Uo. Connecting there an identical filter breaks that assumption, because there's Ir also in the 2nd filter.
To get the right transfer function one should do a rigorous circuit analysis for the whole circuit which contains a voltage source for U1 and 2 filters cascaded behind it.
Engineers often try to design circuits where the total transfer function could be got by multiplying the transfer functions of the cascaded subcircuits. In this case it's possible by inserting a buffer amplifier between the filters. Such buffer only repeats its input voltage as is (=multiplies with 1) and draws so little current that our basic assumption isn't violated:

If we assume that the operational amplifier is used inside its valid operating range (voltages, output current, temperature, signal frequency) we really can use the following transfer function for it:

As said above, Uo and U1 are the Laplace transforms of the voltages vs time. The transfer function is their ratio.
The transfer function itself contains variable s, so it also seems to be the Laplace transform of a function of time. But of which function? In the theory of linear systems it's proven that the s-domain transfer function of a linear system is the Laplace transform of the impulse response of the system. The impulse response is the output when the input is the theoretical Dirac's delta i.e. an infinite peak with zero length, but still having exact unit energy.
In textbooks in the same chapter where the preceding connection between the transfer function and the impulse response is shown, there's also a proof for a fact you seemingly already have at least seen somewhere:
If we make the convolution between the impulse responses of 2 linear systems (say system A and system B) and Laplace transform the result we get the transfer function of the system where A and B are cascaded. This is true only if the impulse responses of A and B stay same i.e. the cascading doesn't violate any assumptions behind the calculations of the impulse responses. Load current = 0 in our RC filter was just such assumption which was broken by cascading. But inserting a buffer amplified fixed it.
You asked should one change in some way a block diagram when he starts to make calculations in Laplace domain instead of time domain? No! The structure of a system shouldn't be changed when one changes only his calculations, not the system. It may be useful to write to the diagram for ex. voltages as U(s) instead of U(t) if one is going to talk or write about his Laplace domain calculations.