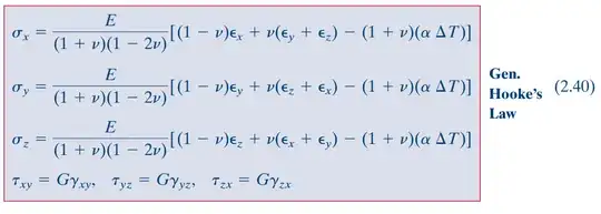
I'm in the process of understanding the generalized Hooke's law for an isotropic, linear-elastic material. I've come across two formulations of the same low in Mechanics of Materials by Roy Craig Jr., which are described below.

Let's get the x components, and let's assume $\sigma_y = \sigma_z = 0$, also that there is no temperature gradient. From Eq. 2.38 we then get $\sigma_x = E \cdot \epsilon_x$. However, 2.40 gives $\sigma_x = (E(1-\nu)/(1+\nu) \cdot (1-2 \nu)) \cdot \epsilon_x$, which clearly is not the same thing.
What am I missing here?
