I'm dealing with hot combustion products flowing through heat exchangers and I'd like to perform some calculations regarding the flow properties (velocity, temperature, pressure and density) as it passes trough the heat exchanger.
I've a 1D model already built and I'd like to test it and validate it, but I'm lacking some critical information.
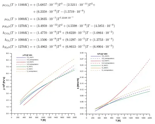
Is there any place where I can find the absolute viscosity [Pa*s] as a function of temperature (for pressures of 1atm, or close to it) for some select gases?
I need to know the viscosity between 300K and 2500K for gaseous CO2, H2O, N2 and O2. In polynomial form (something similar to the NASA/JANAF polynomials) would be nice, but in table would also be good.
I've already tried NIST, but it doesn't have that information for the temperature range I'm interested in.
Is it possible to run a macro for FLUENT, Star ccm+ or OpenFOAM and get those values from those programs? I have legal access to all of them.
