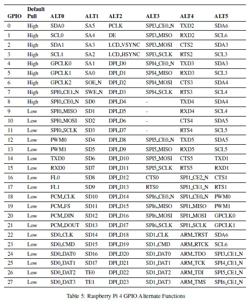
The preliminary Raspberry Pi 4 Model B datasheet, section "5.1.1 GPIO Pin Assignments" says:
As well as being able to be used as straightforward software controlled input and output (with programmable
pulls), GPIO pins can be switched (multiplexed) into various other modes backed by dedicated
peripheral blocks such as I2C, UART and SPI.
In addition to the standard peripheral options found on legacy Pis, extra I2C, UART and SPI peripherals
have been added to the BCM2711 chip and are available as further mux options on the Pi4. This gives
users much more flexibility when attaching add-on hardware as compared to older models.
The "additional" interfaces are alternate functions that are multiplexed to the existing GPIO pins. So while it is true that this gives the user more flexibility using any of these functions will reduce the number of available general purpose I/O pins. The alternate functions are listed in section "5.1.2 GPIO Alternate Functions":

How to go about activating alternate functions: How can i turn an GPIO to its alternate function?