I have an array of elements, each with a start time and an end time.
These form a timeline, some of which overlap, and others that do not (and have a gap between groups of overlapping elements).
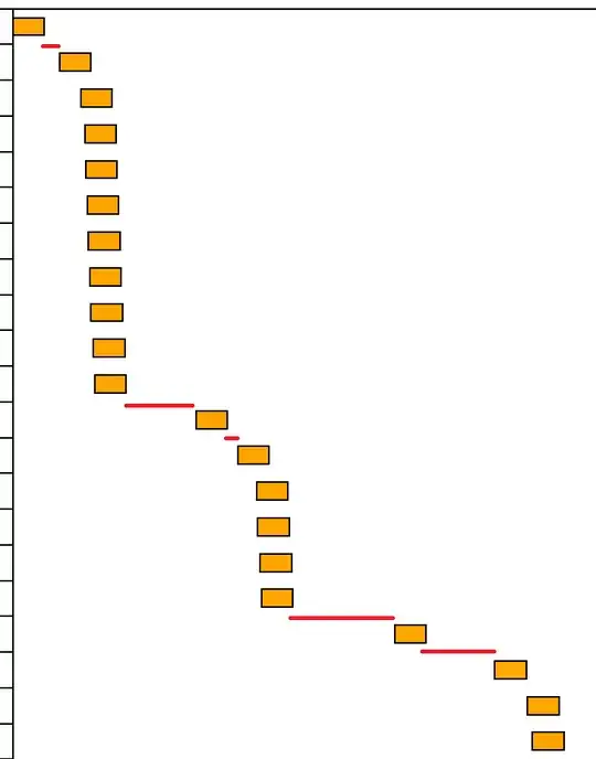
I written some code that removes the gaps between the non-overlapping elements (red lines as per the image below) however it is starting to get messy and not catching edge cases.
Does an algorithm exist already that will remove the red gaps and shift everything up neatly?
My code stab is below:
// sort by time, lowest to highest
entries.Sort((a, b) => a.TimeOffset.CompareTo(b.TimeOffset));
var lookingForFirstGap = true;
var storedOffset = 0.0;
var indexToTrimFrom = 0;
for (var i = 0; i < entries.Count -1; i++ )
{
// var previous = entries[i-1];
var current = entries[i];
var next = entries[i+1];
// var distanceBack = previous.TimingsAbsolute.End - current.TimingsAbsolute.Start;
var distanceForward = next.TimingsAbsolute.Start - current.TimingsAbsolute.End;
Console.WriteLine("Distance {0} -> {1} is {2}", i, i+1, distanceForward);
if (!(distanceForward > 0))
continue;
if (lookingForFirstGap)
{
indexToTrimFrom = i + 1;
Console.WriteLine("To trim from " + indexToTrimFrom);
storedOffset = distanceForward; // we have found a gap, store the amount
lookingForFirstGap = false; // now start looking for element where there is a gap after it
}
else
{
var indexToTrimTo = i;
for (var x = indexToTrimFrom; x <= indexToTrimTo; x++)
{
// trim all
Console.WriteLine("Adjust [" + x + "] by " + storedOffset);
}
if (distanceForward > 0)
{
indexToTrimFrom = i + 1;
Console.WriteLine("To trim from " + indexToTrimFrom);
storedOffset = distanceForward; // we have found a gap, store the amount
}
else
lookingForFirstGap = true; // start looking for gap again
}
}
