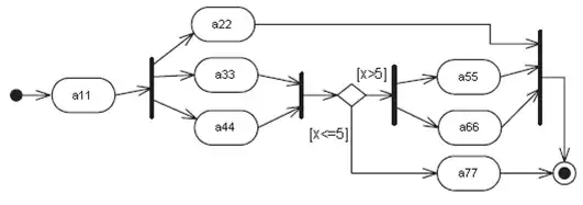
Consider the following Activity Diagram :
First of all the activity a22 is confusing me through this configuration .If we need to list all the possible activity sequences that can take place in this activity diagram. My answer is as follows :
Sequence one : a11 ; parallel combination of a22 , a33 and a44 ;a77.
Sequence two : a11 ;parallel combination of a22 , a33 and a44 ; parallel combination of a55 and a66.
Is this a right answer ?
