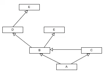
I have a git repo with nested submodule dependencies (see picture as an example). There are duplications because each repo needs to be compiled standalone in a pipeline so that the corresponding test executable can be run. Currently, this is solved with submodules. If E gets a new commit, I need to
- update submodule pointer D->E from A->B->D and from A->C->B->D
- update submodule pointer B->E from A->B and from A->C->B
Which is annoying and makes cloning A take forever, because the whole B branch exists twice. How are structures with nested dependencies like this handled best? Is there an easy way to handle this with binaries?
