Indriline

Indriline
Clinical data
Other namesLu 3-083, MJ 1986.
Identifiers
CAS Number
PubChem CID
ChemSpider
UNII
ChEMBL
CompTox Dashboard (EPA)
Chemical and physical data
FormulaC19H21N
Molar mass263.384 g·mol−1
3D model (JSmol)
  • CN(C)CCC1(C=CC2=CC=CC=C21)C3=CC=CC=C3
  • InChI=1S/C19H21N/c1-20(2)15-14-19(17-9-4-3-5-10-17)13-12-16-8-6-7-11-18(16)19/h3-13H,14-15H2,1-2H3
  • Key:KAQPNQMPHIRKJJ-UHFFFAOYSA-N

Indriline is a central nervous system stimulant with antidepressant activity and application in the treatment of gastric ulcers.

A patent using this chemical is assigned to Pharmacol.[1][2]

Synthesis

The chemical synthesis of indriline has been described:[3][4]

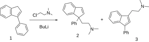
Indriline synthesis
Indriline synthesis

Treatment of 3-phenylindene [1961-97-3] (1) with n-butyl lithium and dimethylamino-2-choroethane gave indriline as well as some inactive isomer. Based on neighboring group participation (NGP), the reaction intermediate is presumably an aziridinium ion[4]

According to Molbase the number of routes for preparing the starting 3-phenylindene is rich. For example from dihydrochalcone.[5] A more classical synthesis is also described in a Pyrophendane patent.

References

  1. ^ US 3743746, Dungan K, Lish P, "Process of treating peptic ulcer with a non-anticholinergic agent", issued 1970, assigned to Mead Johnson & Co. 
  2. ^ Buchel L, Levy J (1968). "[On the central and peripheral pharmacological properties of 1-(2 dimethylaminoethyl)-1-phenylidene]". Therapie (in French). 23 (5): 1135–46. PMID 4387506.
  3. ^ Dykstra SJ, Berdahl JM, Campbell KN, Combs CM, Lankin DG (May 1967). "Phenylindenes and phenylindans with antireserpine activity". Journal of Medicinal Chemistry. 10 (3): 418–428. doi:10.1021/jm00315a029. PMID 22185145.
  4. ^ a b US 3360435, Alexander K, Merrill LP, issued 1967, assigned to Mead Johnson & Co. 
  5. ^ Saito S, Sato Y, Ohwada T, Shudo K (March 1994). "Friedel-Crafts-type cyclodehydration of 1,3-diphenyl-1-propanones. Kinetic evidence for the involvement of dication". Journal of the American Chemical Society. 116 (6): 2312–2317. doi:10.1021/ja00085a010.