Alfuzosin
![]() | |
| Clinical data | |
|---|---|
| Pronunciation | /ælˈfjuːzoʊsɪn/ al-FEW-zoh-sin |
| Trade names | Uroxatral, others |
| AHFS/Drugs.com | Monograph |
| MedlinePlus | a64002 |
| License data | |
| Pregnancy category |
|
| Routes of administration | By mouth |
| Drug class | α1 blocker |
| ATC code | |
| Legal status | |
| Legal status | |
| Pharmacokinetic data | |
| Bioavailability | 49% |
| Protein binding | 82–90% |
| Metabolism | Liver (CYP3A4-mediated) |
| Elimination half-life | 10 hours |
| Excretion | Feces (69%) and Urine (24%) |
| Identifiers | |
| |
| CAS Number | |
| PubChem CID | |
| IUPHAR/BPS | |
| DrugBank | |
| ChemSpider | |
| UNII | |
| KEGG | |
| ChEBI | |
| ChEMBL | |
| CompTox Dashboard (EPA) | |
| ECHA InfoCard | 100.108.671 |
| Chemical and physical data | |
| Formula | C19H27N5O4 |
| Molar mass | 389.456 g·mol−1 |
| 3D model (JSmol) | |
| |
| |
| (verify) | |
Alfuzosin, sold under the brand name Uroxatral among others, is a medication of the α1 blocker class. It is used to treat benign prostatic hyperplasia (BPH).[1]
As an antagonist of the α1-adrenergic receptor, it works by relaxing the muscles in the prostate and bladder neck, making urination easier.
Alfuzosin was patented in 1978 and approved for medical use in 1988.[2] It was approved in the US for benign prostatic hyperplasia in 2003. In 2020, it was the 336th-most commonly prescribed medication in the United States, with more than 700,000 prescriptions.[3][4]
Side effects
The most common side effects are dizziness (due to postural hypotension), upper respiratory tract infection, headache, fatigue, and abdominal disturbances. Side effects include stomach pain, heartburn, and congested nose.[5] Adverse effects of alfuzosin are similar to that of tamsulosin, but with 70% lower rate of retrograde ejaculation.[6]
Chemistry
Alfuzosin contains a stereocenter, so is chiral, with two enantiomeric forms, (R)- and (S)-alfuzosin. The drug is used as a racemate, (RS)-alfuzosin, a 1:1 mixture of the (R)- and (S)- forms.[7]
| Enantiomers of alfuzosin | |
|---|---|
![]() CAS number: 123739-69-5 |
![]() CAS number.: 123739-70-8 |
It is provided as the hydrochloride salt.
Society and culture
Brand names
It is sold under the brand names Alfosoft, Uroxatral,[8] Xatral, Prostetrol,[9] and Alfural.[10]
Synthesis
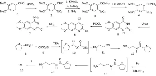
The nitration of veratraldehyde [120-14-9] (1) gives 6-Nitroveratraldehyde [20357-25-9] (2). Oxidation of the aldehyde to the acid, halogenation with thionyl chloride and amide formation with ammonia gives 4,5-dimethoxy-2-nitrobenzamide [4959-60-8] (3). Béchamp reduction of the nitro group gives 2-amino-4,5-dimethoxybenzamide [5004-88-6] (4). Reaction with urea leads to 6,7-Dimethoxyquinazoline-2,4-dione [28888-44-0] (5). Halogenation with phosphoryl chloride gives 2,4-Dichloro-6,7-dimethoxyquinazoline [27631-29-4] (6). Treatment with one equivalent of ammonia yields 4-Amino-2-chloro-6,7-dimethoxyquinazoline [23680-84-4] (7).

The reaction of 2-Tetrahydrofuroic Acid [16874-33-2] (8) with Ethyl chloroformate [541-41-3] (9) gives Ethoxycarbonyl oxolane-2-carboxylate, PC10997775 (10). Treatment of the mixed anhydride with 3-Methylaminopropionitrile [693-05-0] (11) gives N-(2-Cyanoethyl)tetrahydro-N-methyl-2-furancarboxamide [72104-44-0] (12). Catalytic hydrogenation gives N-(3-Aminopropyl)tetrahydro-N-methyl-2-furancarboxamide [72104-45-1] (13). Migration of the amide methyl group to the terminal position gives N-[3-(methylamino)propyl]oxolane-2-carboxamide [81403-67-0] (14). Convergent synthesis between the two coutnerparts completed the synthesis of Alfuzosin (15).
References
- ^ Lepor H (August 2016). "Alpha-blockers for the Treatment of Benign Prostatic Hyperplasia". The Urologic Clinics of North America. 43 (3): 311–23. doi:10.1016/j.ucl.2016.04.009. PMC 2213889. PMID 27476124.
- ^ Fischer J, Ganellin CR (2006). Analogue-based Drug Discovery. John Wiley & Sons. p. 455. ISBN 9783527607495.
- ^ "The Top 300 of 2020". ClinCalc. Retrieved 7 October 2022.
- ^ "Alfuzosin - Drug Usage Statistics". ClinCalc. Retrieved 7 October 2022.
- ^ "Alfuzosin". MedlinePlus. United States National Library of Medicine. 15 April 2016.
- ^ Liu C, Zeng G, Kang R, Wu W, Li J, Chen K, Wan SP (2015). "Efficacy and Safety of Alfuzosin as Medical Expulsive Therapy for Ureteral Stones: A Systematic Review and Meta-Analysis". PLOS ONE. 10 (8): e0134589. Bibcode:2015PLoSO..1034589L. doi:10.1371/journal.pone.0134589. PMC 4526635. PMID 26244843.
This article incorporates text available under the CC BY 4.0 license.
- ^ Rote Liste Service GmbH (Hrsg.): Rote Liste 2017 - Arzneimittelverzeichnis für Deutschland (einschließlich EU-Zulassungen und bestimmter Medizinprodukte). Rote Liste Service GmbH, Frankfurt/Main, 2017, Aufl. 57, S. 159, ISBN 978-3-946057-10-9.
- ^ "Alfuzosin (Oral Route) Description and Brand Names - Mayo Clinic". www.mayoclinic.org. Retrieved 21 September 2022.
- ^ "Prostetrol 10mg 30 tablet". royalph.com. Retrieved 21 September 2022.
- ^ "Γαληνός - Φάρμακο - ALFURAL". www.galinos.gr (in Greek). Retrieved 21 September 2022.
- ^ Cazor, JL; Borg, F.; Dimsdale, M.; Alfuzosin hydrochloride. Drugs Fut 1986, 11, 10, 821.
- ^ Manoury, Philippe M.; Binet, Jean L.; Dumas, Andre P.; Lefevre-Borg, Francoise; Cavero, Icilio (1986). "Synthesis and antihypertensive activity of a series of 4-amino-6,7-dimethoxyquinazoline derivatives". Journal of Medicinal Chemistry 29 (1): 19–25. doi:10.1021/jm00151a003.
- ^ Philippe M. Manoury, US4315007 (1982 to Synthelabo SA); CA, 96, 162737e.
- ^ Keshav Deo, et al. WO2009001369 (to Alembic Ltd.).
- ^ Allen, J. (November 1983). "A synthesis of [ 14 C]alfuzosine hydrochloride". Journal of Labelled Compounds and Radiopharmaceuticals. 20 (11): 1283–1286. doi:10.1002/jlcr.2580201109.

-Alfuzosin_Structural_Formula_V2.svg.png)
-Alfuzosin_Structural_Formula_V2.svg.png)